🇳🇴 🇬🇧 🇩🇪 🇨🇿 🇫🇮

Meteor, poloha: Skagen 2022-08-21 22:17:25 UTC

Soubor KML  |  InteraktivnĂ­ mapa

Mapa zobrazuje dráhy meteoru. Světlejší čáry ukazují směry od pozorovacích stanic při objevení se meteoru a tmavší čáry, kde byl naposledy viděn. Modrá šipka značí viditelnou dráhu meteoru.

static map
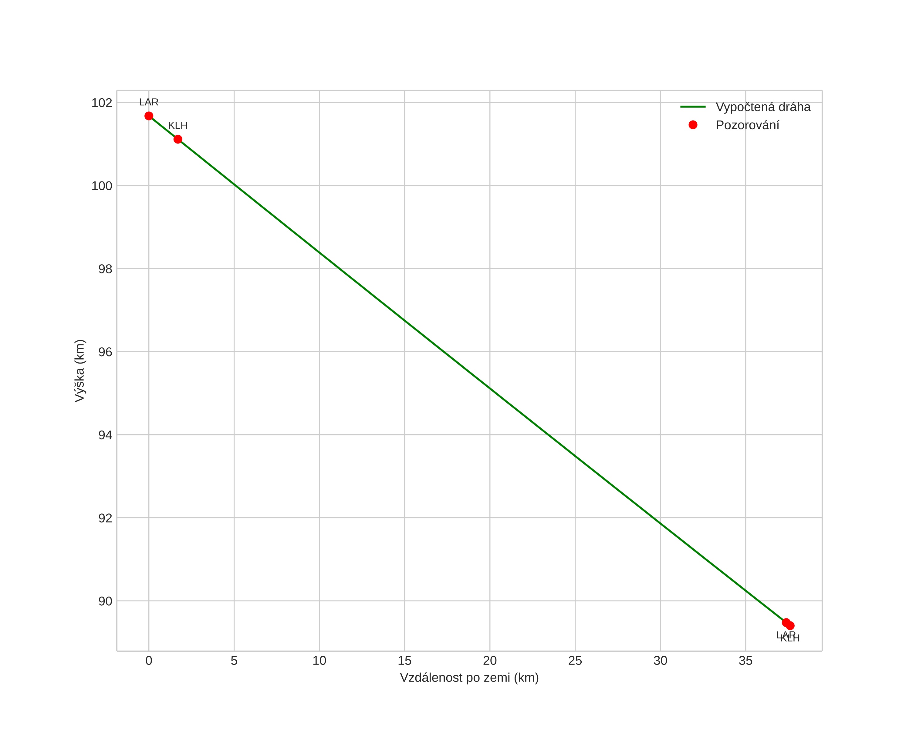
height profile
Atmosférická dráha meteoru:
Počáteční výška: 101,7 km
Konečná výška: 89,4 km
Počáteční poloha: 58,293N 10,940E
Konečná poloha: 58,248N 10,302E
Směr: 262,7°
Sklon: 18,1°
VstupnĂ­ rychlost: 70,8 km/s
Rektascenze radiantu: 02:46 (41,7°)
Deklinace radiantu: 18,6°
MeteorickĂ˝ roj: sporadickĂ˝
Elementy dráhy meteoroidu:
Vzdálenost v periheliu: 0,849 AU
Excentricita: 0,995
Sklon dráhy: 175,5°
Délka vzestupného uzlu: 148,5°
Argument perihelia: 227,3°
Střední anomálie: 360,0°
Epocha: 2022 AUG 21 22:17:25
orbit plot

NeinteraktivnĂ­ graf | InteraktivnĂ­ graf

position vs time
speed and acceleration