🇳🇴 🇬🇧 🇩🇪 🇨🇿 🇫🇮

Meteor Skagenin yllä 2022-08-21 22:17:25 UTC

KML-tiedosto  |  Interaktiivinen kartta

Kartta näyttää meteorin suuntahavainnot. Vaaleammat viivat näyttävät suunnat havaintoasemilta meteorin ilmestyessä, ja tummemmat viivat näyttävät, missä se viimeksi nähtiin. Sininen nuoli näyttää meteorin näkyvän lennon.

static map
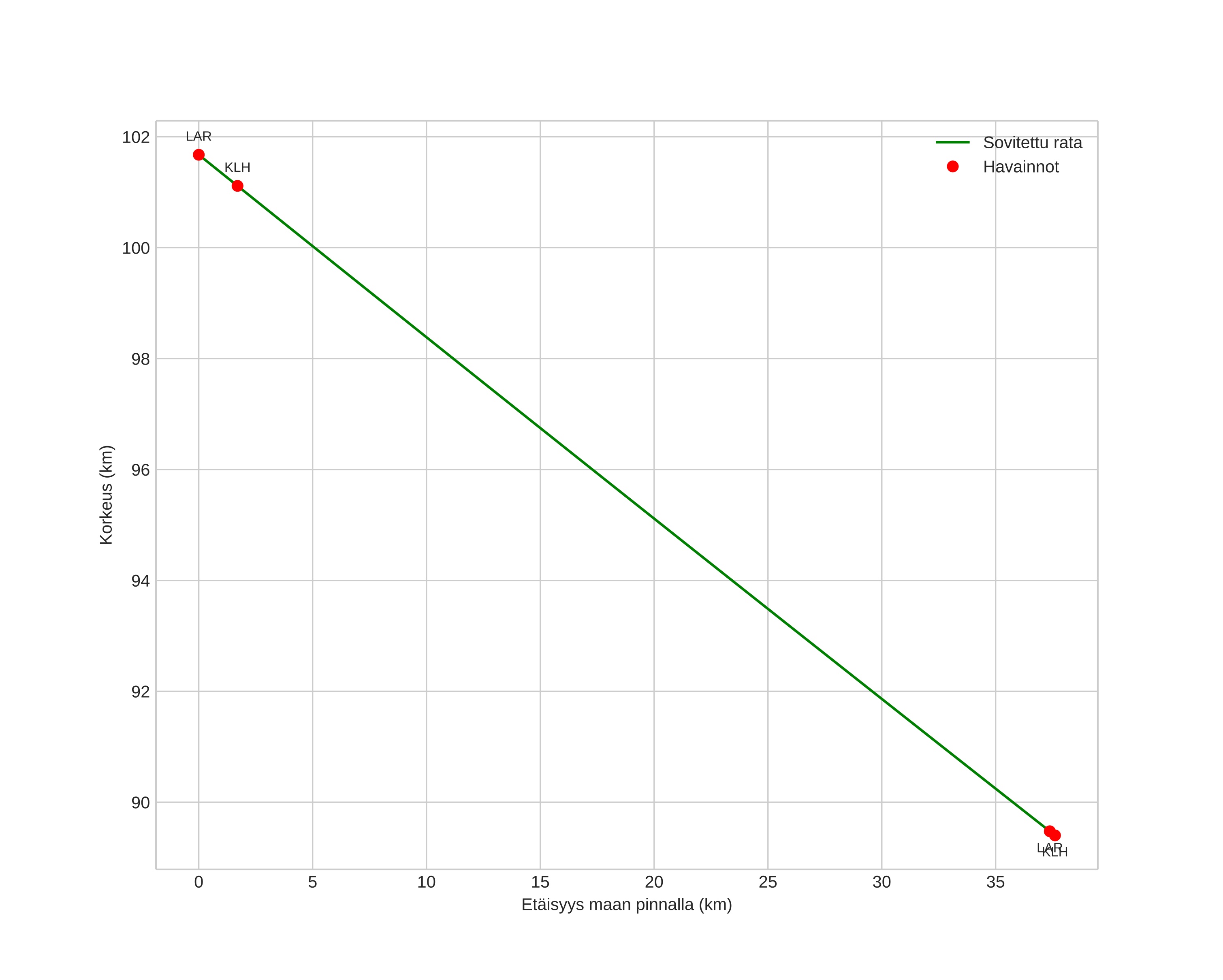
height profile
Meteorin ilmakehärata:
Alkukorkeus: 101,7 km
Loppukorkeus: 89,4 km
Alkupiste: 58,293N 10,940E
Loppupiste: 58,248N 10,302E
Suunta: 262,7°
Kallistuskulma: 18,1°
Tulonopeus: 70,8 km/s
Radiantin R,A,: 02:46 (41,7°)
Radiantin Dekl,: 18,6°
Meteoriparvi: Sporadinen
Meteoroidin rataelementit:
Perihelietäisyys: 0,849 AU
Eksentrisyys: 0,995
Inklinaatio: 175,5°
Nousevan solmun pituus: 148,5°
Perihelin argumentti: 227,3°
Keskianomalia: 360,0°
Epookki: 2022 AUG 21 22:17:25
orbit plot

Ei-interaktiivinen kuvaaja | Interaktiivinen kuvaaja

position vs time
speed and acceleration