🇳🇴 🇬🇧 🇩🇪 🇨🇿 🇫🇮

Meteor, poloha: Ă…mĂĄl 2022-08-22 21:01:45 UTC

Soubor KML  |  InteraktivnĂ­ mapa

Mapa zobrazuje dráhy meteoru. Světlejší čáry ukazují směry od pozorovacích stanic při objevení se meteoru a tmavší čáry, kde byl naposledy viděn. Modrá šipka značí viditelnou dráhu meteoru.

static map
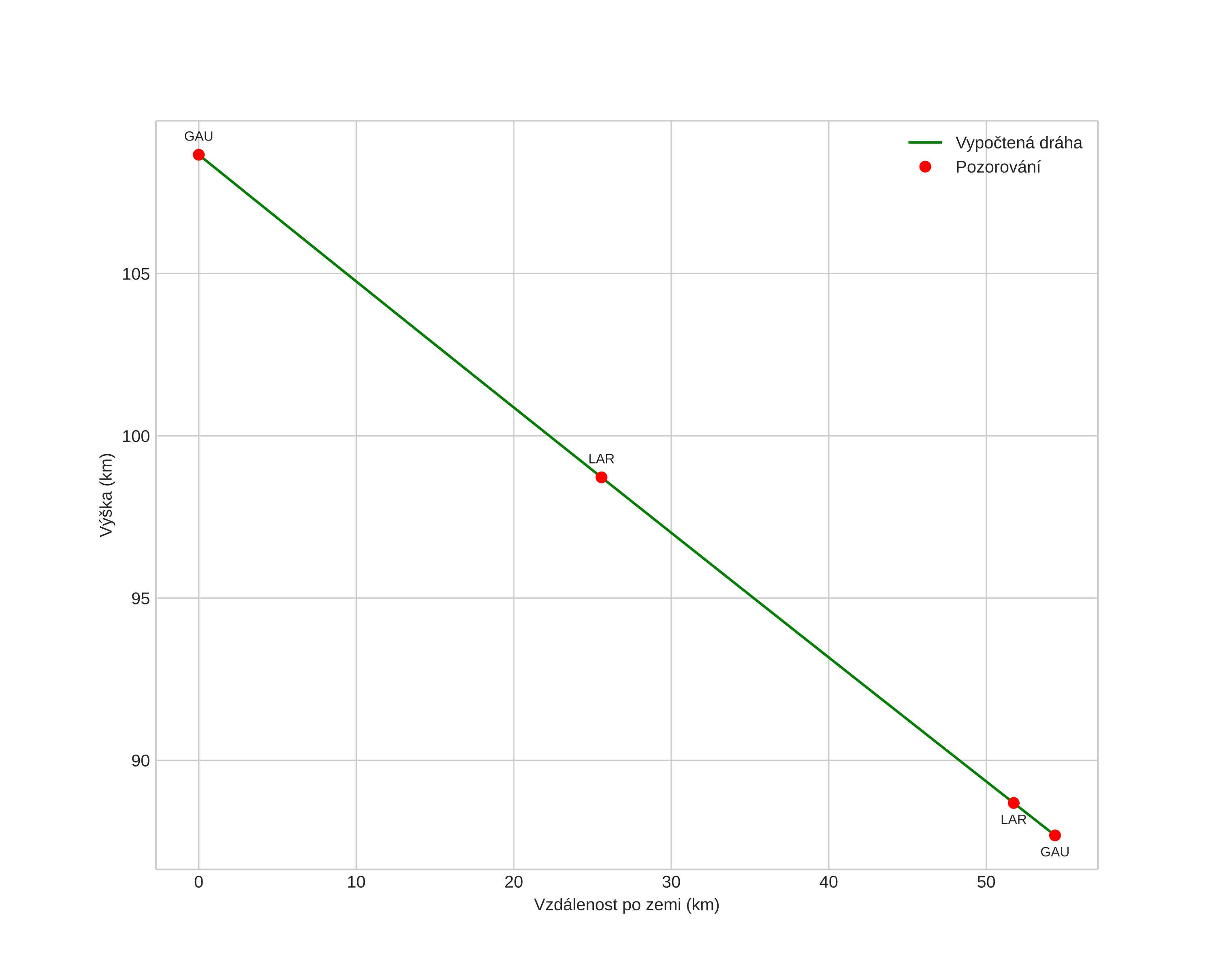
height profile
Atmosférická dráha meteoru:
Počáteční výška: 105,6 km
Konečná výška: 87,0 km
Počáteční poloha: 59,638N 12,751E
Konečná poloha: 59,146N 12,789E
Směr: 177,7°
Sklon: 18,8°
VstupnĂ­ rychlost: 66,4 km/s
Rektascenze radiantu: 08:09 (122,4°)
Deklinace radiantu: 48,6°
MeteorickĂ˝ roj: sporadickĂ˝
Elementy dráhy meteoroidu:
Vzdálenost v periheliu: 0,415 AU
Excentricita: 1,643
Sklon dráhy: 98,3°
Délka vzestupného uzlu: 149,4°
Argument perihelia: 92,9°
Střední anomálie: 54,8°
Epocha: 2022 AUG 22 21:01:45
orbit plot

NeinteraktivnĂ­ graf | InteraktivnĂ­ graf

position vs time
speed and acceleration