🇳🇴 🇬🇧 🇩🇪 🇨🇿 🇫🇮

Meteor Åmålin yllä 2022-08-22 21:01:45 UTC

KML-tiedosto  |  Interaktiivinen kartta

Kartta näyttää meteorin suuntahavainnot. Vaaleammat viivat näyttävät suunnat havaintoasemilta meteorin ilmestyessä, ja tummemmat viivat näyttävät, missä se viimeksi nähtiin. Sininen nuoli näyttää meteorin näkyvän lennon.

static map
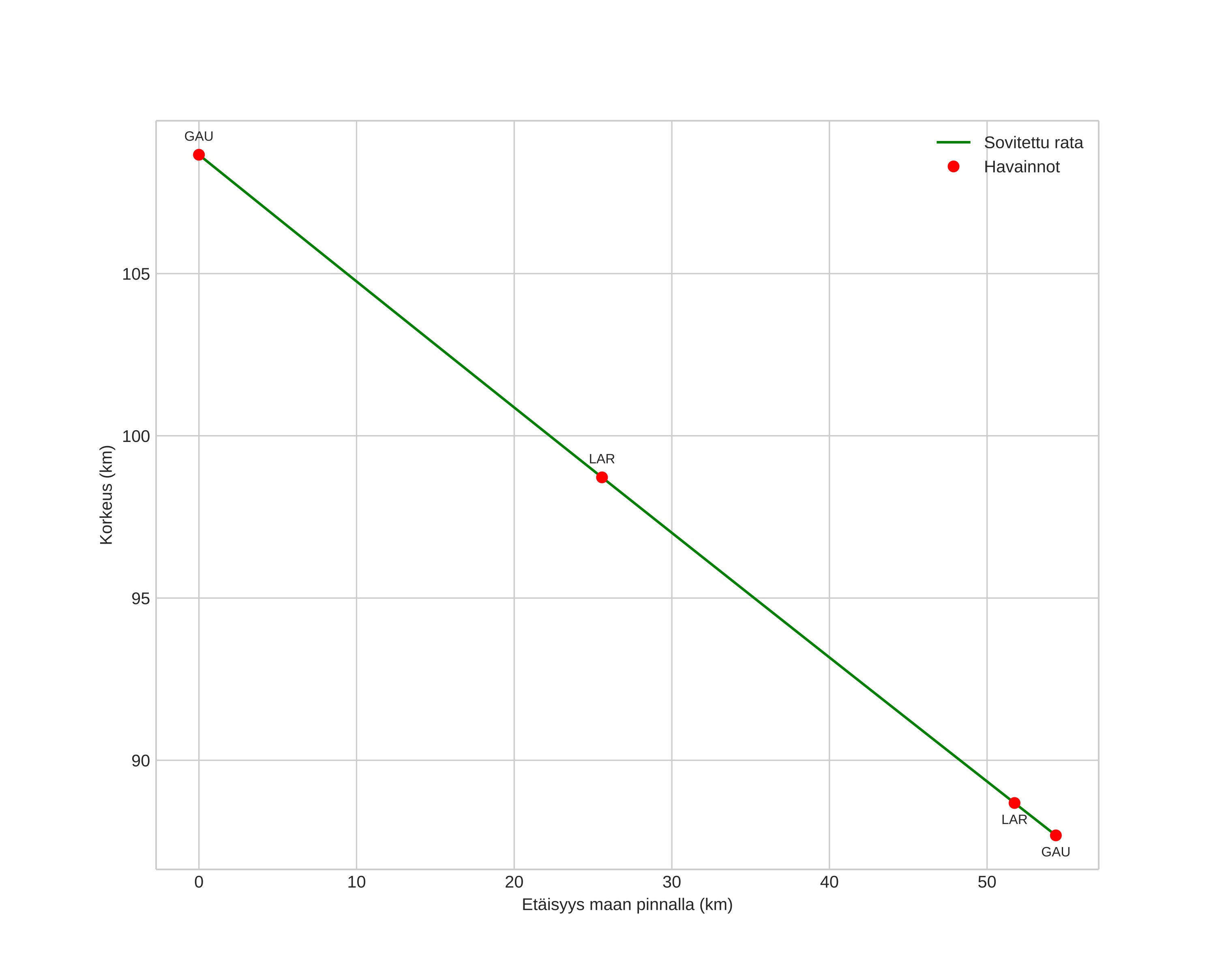
height profile
Meteorin ilmakehärata:
Alkukorkeus: 105,6 km
Loppukorkeus: 87,0 km
Alkupiste: 59,638N 12,751E
Loppupiste: 59,146N 12,789E
Suunta: 177,7°
Kallistuskulma: 18,8°
Tulonopeus: 66,4 km/s
Radiantin R,A,: 08:09 (122,4°)
Radiantin Dekl,: 48,6°
Meteoriparvi: Sporadinen
Meteoroidin rataelementit:
Perihelietäisyys: 0,415 AU
Eksentrisyys: 1,643
Inklinaatio: 98,3°
Nousevan solmun pituus: 149,4°
Perihelin argumentti: 92,9°
Keskianomalia: 54,8°
Epookki: 2022 AUG 22 21:01:45
orbit plot

Ei-interaktiivinen kuvaaja | Interaktiivinen kuvaaja

position vs time
speed and acceleration