🇳🇴 🇬🇧 🇩🇪 🇨🇿 🇫🇮

Meteor, poloha: Egersund 2022-08-23 01:41:01 UTC

Soubor KML  |  InteraktivnĂ­ mapa

Mapa zobrazuje dráhy meteoru. Světlejší čáry ukazují směry od pozorovacích stanic při objevení se meteoru a tmavší čáry, kde byl naposledy viděn. Modrá šipka značí viditelnou dráhu meteoru.

static map
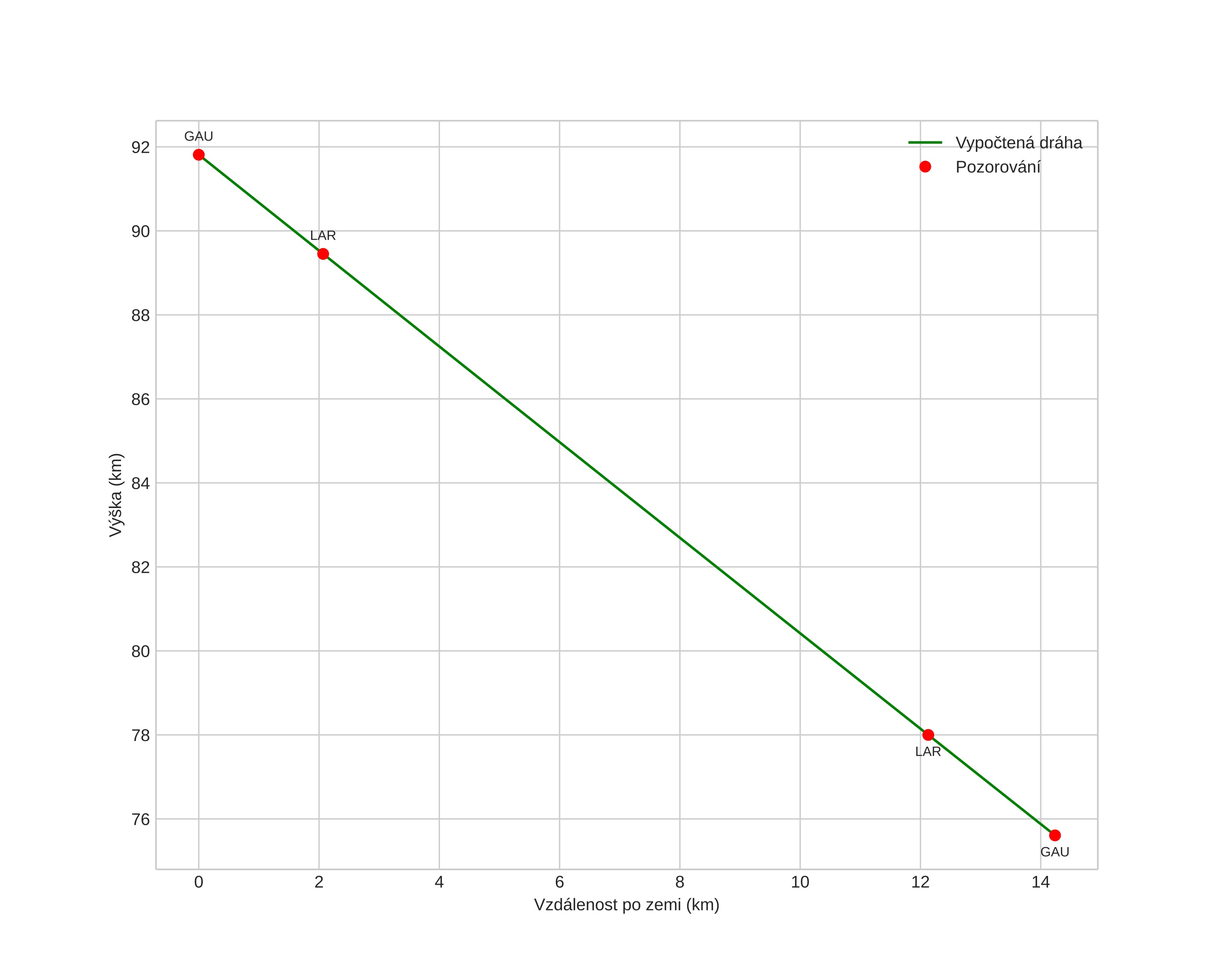
height profile
Atmosférická dráha meteoru:
Počáteční výška: 91,7 km
Konečná výška: 75,4 km
Počáteční poloha: 58,180N 5,717E
Konečná poloha: 58,102N 5,907E
Směr: 127,6°
Sklon: 49,1°
VstupnĂ­ rychlost: 23,1 km/s
Rektascenze radiantu: 18:18 (274,7°)
Deklinace radiantu: 56,2°
MeteorickĂ˝ roj: Kappa Cygnidy
Elementy dráhy meteoroidu:
Vzdálenost v periheliu: 1,003 AU
Excentricita: 0,645
Sklon dráhy: 31,9°
Délka vzestupného uzlu: 149,6°
Argument perihelia: 191,5°
Střední anomálie: 358,1°
Epocha: 2022 AUG 23 01:41:01
orbit plot

NeinteraktivnĂ­ graf | InteraktivnĂ­ graf

position vs time
speed and acceleration