🇳🇴 🇬🇧 🇩🇪 🇨🇿 🇫🇮

Meteor Egersundin yllä 2022-08-23 01:41:01 UTC

KML-tiedosto  |  Interaktiivinen kartta

Kartta näyttää meteorin suuntahavainnot. Vaaleammat viivat näyttävät suunnat havaintoasemilta meteorin ilmestyessä, ja tummemmat viivat näyttävät, missä se viimeksi nähtiin. Sininen nuoli näyttää meteorin näkyvän lennon.

static map
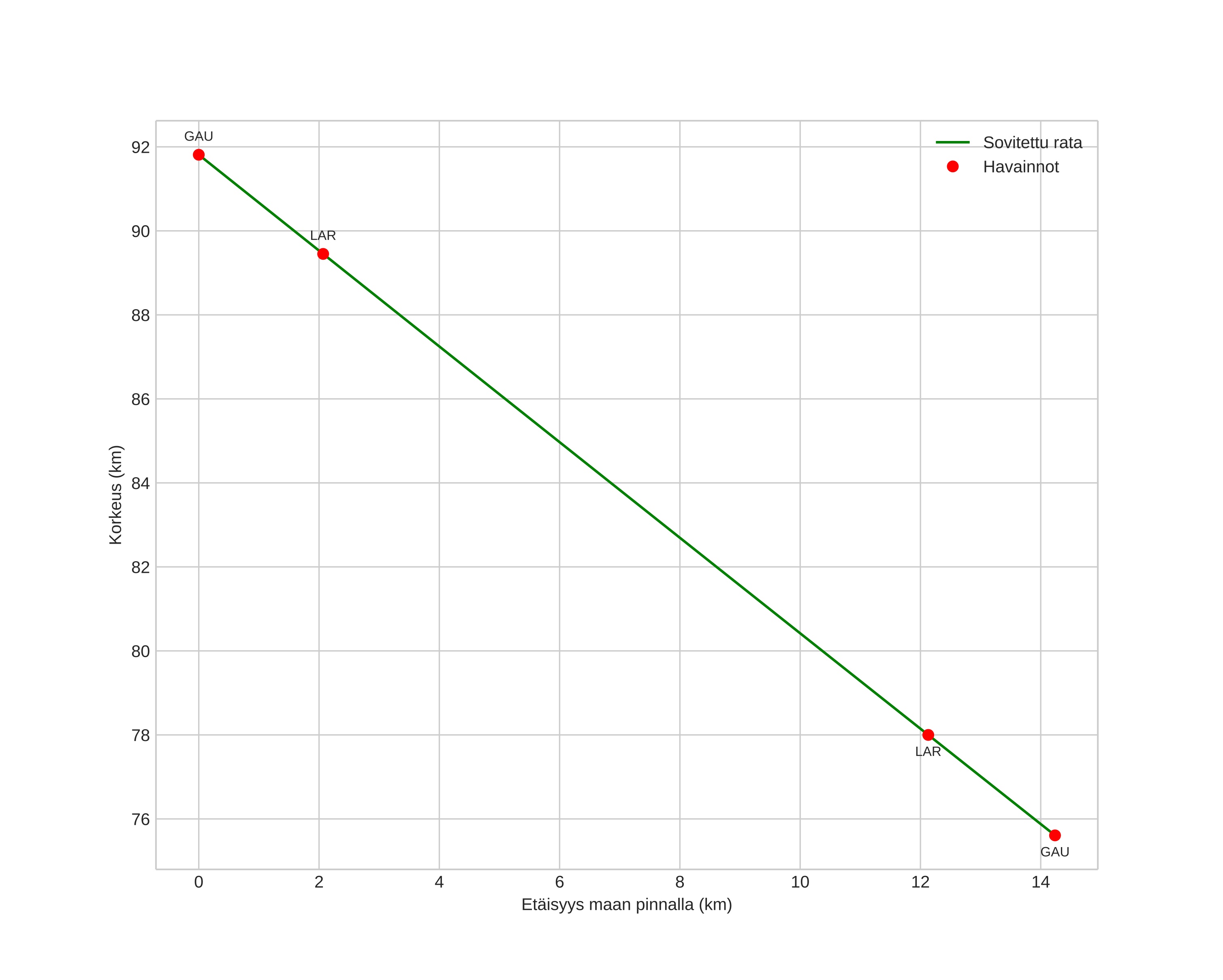
height profile
Meteorin ilmakehärata:
Alkukorkeus: 91,7 km
Loppukorkeus: 75,4 km
Alkupiste: 58,180N 5,717E
Loppupiste: 58,102N 5,907E
Suunta: 127,6°
Kallistuskulma: 49,1°
Tulonopeus: 23,1 km/s
Radiantin R,A,: 18:18 (274,7°)
Radiantin Dekl,: 56,2°
Meteoriparvi: Kappa-sygnidit
Meteoroidin rataelementit:
Perihelietäisyys: 1,003 AU
Eksentrisyys: 0,645
Inklinaatio: 31,9°
Nousevan solmun pituus: 149,6°
Perihelin argumentti: 191,5°
Keskianomalia: 358,1°
Epookki: 2022 AUG 23 01:41:01
orbit plot

Ei-interaktiivinen kuvaaja | Interaktiivinen kuvaaja

position vs time
speed and acceleration