🇳🇴 🇬🇧 🇩🇪 🇨🇿 🇫🇮

Meteor, poloha: Kirkenær 2022-08-24 20:23:47 UTC

Soubor KML  |  InteraktivnĂ­ mapa

Mapa zobrazuje dráhy meteoru. Světlejší čáry ukazují směry od pozorovacích stanic při objevení se meteoru a tmavší čáry, kde byl naposledy viděn. Modrá šipka značí viditelnou dráhu meteoru.

static map
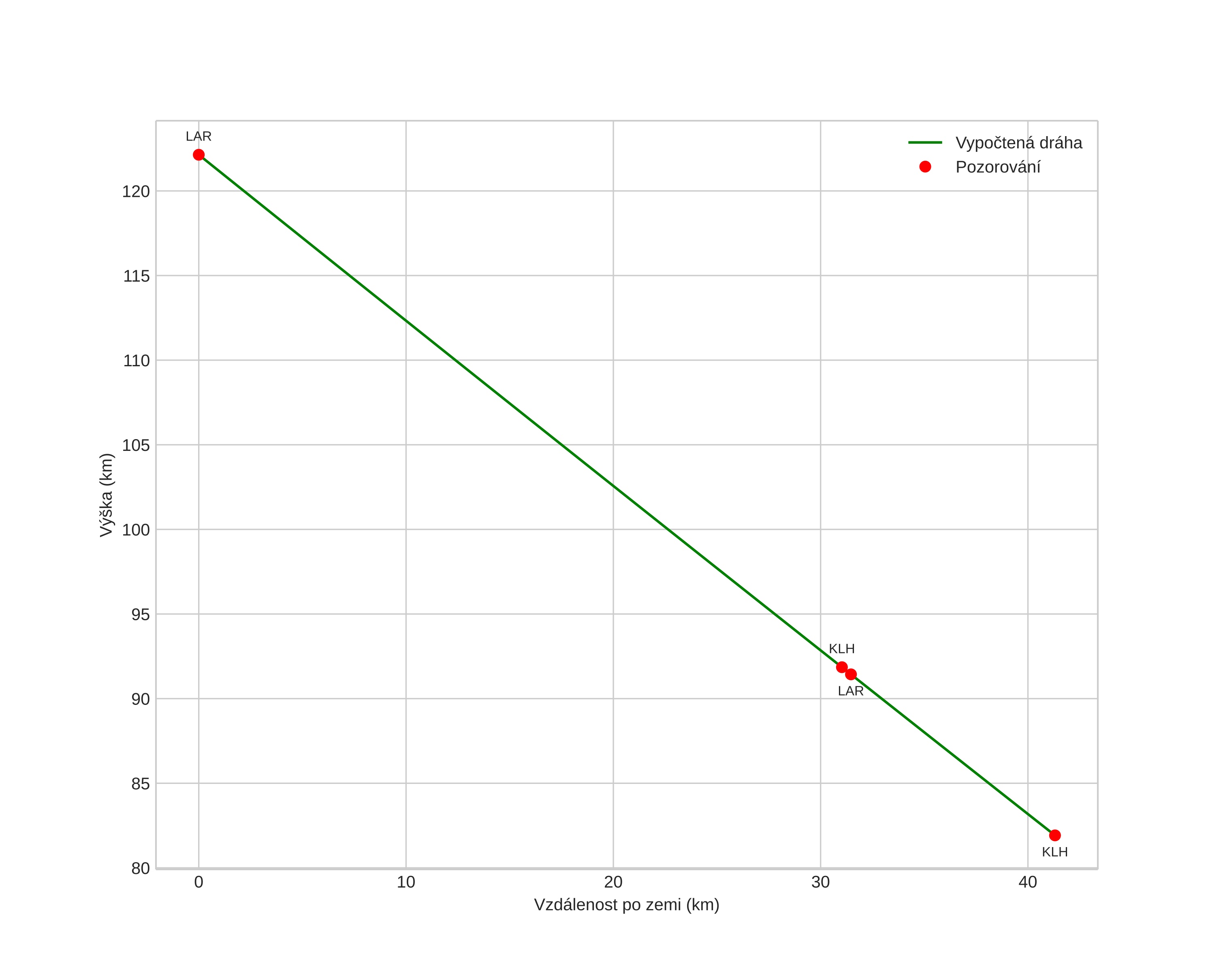
height profile
Atmosférická dráha meteoru:
Počáteční výška: 125,7 km
Konečná výška: 81,7 km
Počáteční poloha: 60,743N 12,779E
Konečná poloha: 60,517N 12,063E
Směr: 237,5°
Sklon: 43,4°
VstupnĂ­ rychlost: 73,0 km/s
Rektascenze radiantu: 01:27 (21,9°)
Deklinace radiantu: 52,0°
MeteorickĂ˝ roj: sporadickĂ˝
Elementy dráhy meteoroidu:
Vzdálenost v periheliu: 0,927 AU
Excentricita: 2,250
Sklon dráhy: 117,2°
Délka vzestupného uzlu: 151,3°
Argument perihelia: 208,4°
Střední anomálie: -23,3°
Epocha: 2022 AUG 24 20:23:47
orbit plot

NeinteraktivnĂ­ graf | InteraktivnĂ­ graf

position vs time
speed and acceleration