🇳🇴 🇬🇧 🇩🇪 🇨🇿 🇫🇮

Meteor Kirkenærin yllä 2022-08-24 20:23:47 UTC

KML-tiedosto  |  Interaktiivinen kartta

Kartta näyttää meteorin suuntahavainnot. Vaaleammat viivat näyttävät suunnat havaintoasemilta meteorin ilmestyessä, ja tummemmat viivat näyttävät, missä se viimeksi nähtiin. Sininen nuoli näyttää meteorin näkyvän lennon.

static map
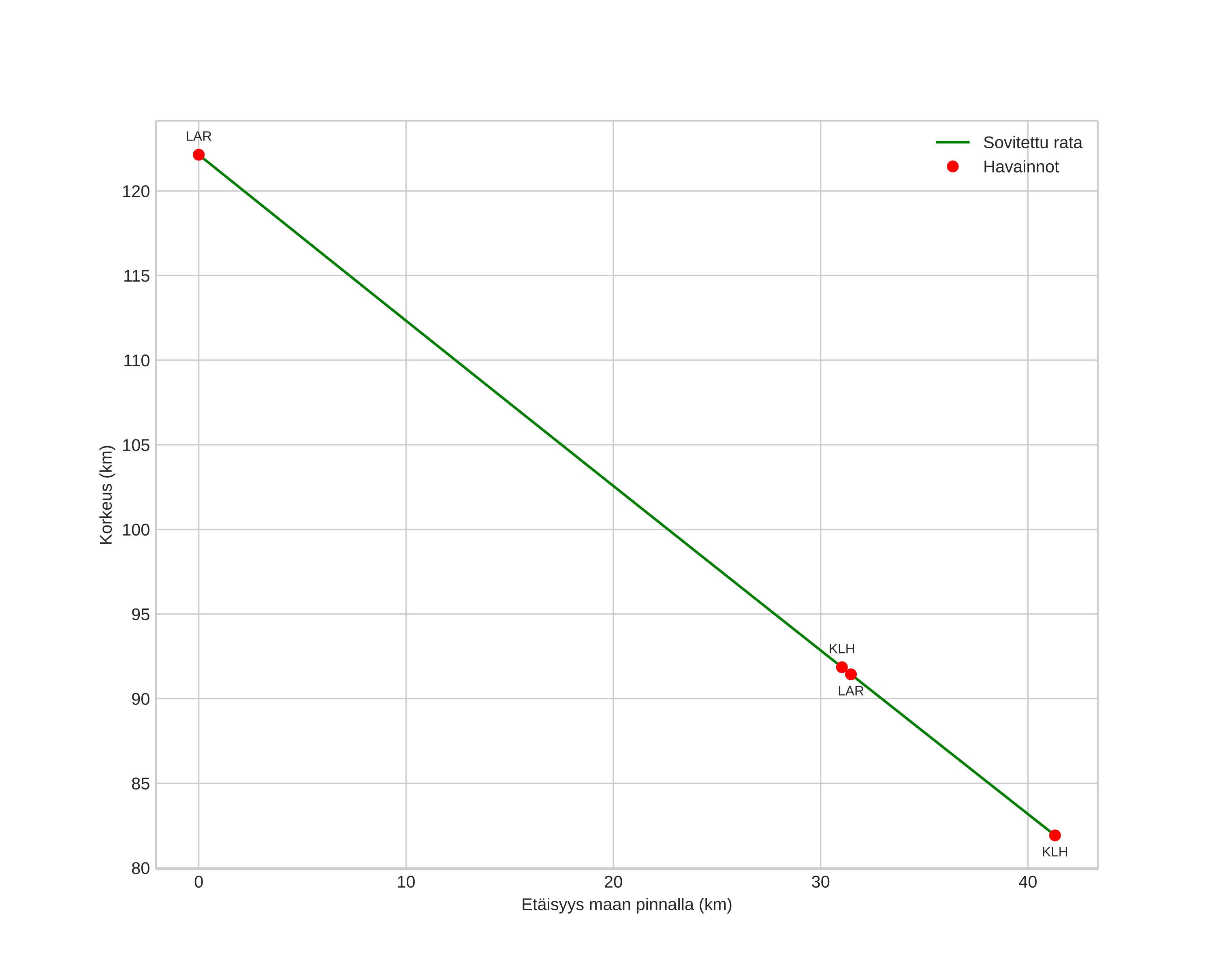
height profile
Meteorin ilmakehärata:
Alkukorkeus: 125,7 km
Loppukorkeus: 81,7 km
Alkupiste: 60,743N 12,779E
Loppupiste: 60,517N 12,063E
Suunta: 237,5°
Kallistuskulma: 43,4°
Tulonopeus: 73,0 km/s
Radiantin R,A,: 01:27 (21,9°)
Radiantin Dekl,: 52,0°
Meteoriparvi: Sporadinen
Meteoroidin rataelementit:
Perihelietäisyys: 0,927 AU
Eksentrisyys: 2,250
Inklinaatio: 117,2°
Nousevan solmun pituus: 151,3°
Perihelin argumentti: 208,4°
Keskianomalia: -23,3°
Epookki: 2022 AUG 24 20:23:47
orbit plot

Ei-interaktiivinen kuvaaja | Interaktiivinen kuvaaja

position vs time
speed and acceleration