🇳🇴 🇬🇧 🇩🇪 🇨🇿 🇫🇮

Meteor, poloha: Skagen 2022-08-24 21:32:38 UTC

Soubor KML  |  InteraktivnĂ­ mapa

Mapa zobrazuje dráhy meteoru. Světlejší čáry ukazují směry od pozorovacích stanic při objevení se meteoru a tmavší čáry, kde byl naposledy viděn. Modrá šipka značí viditelnou dráhu meteoru.

static map
height profile
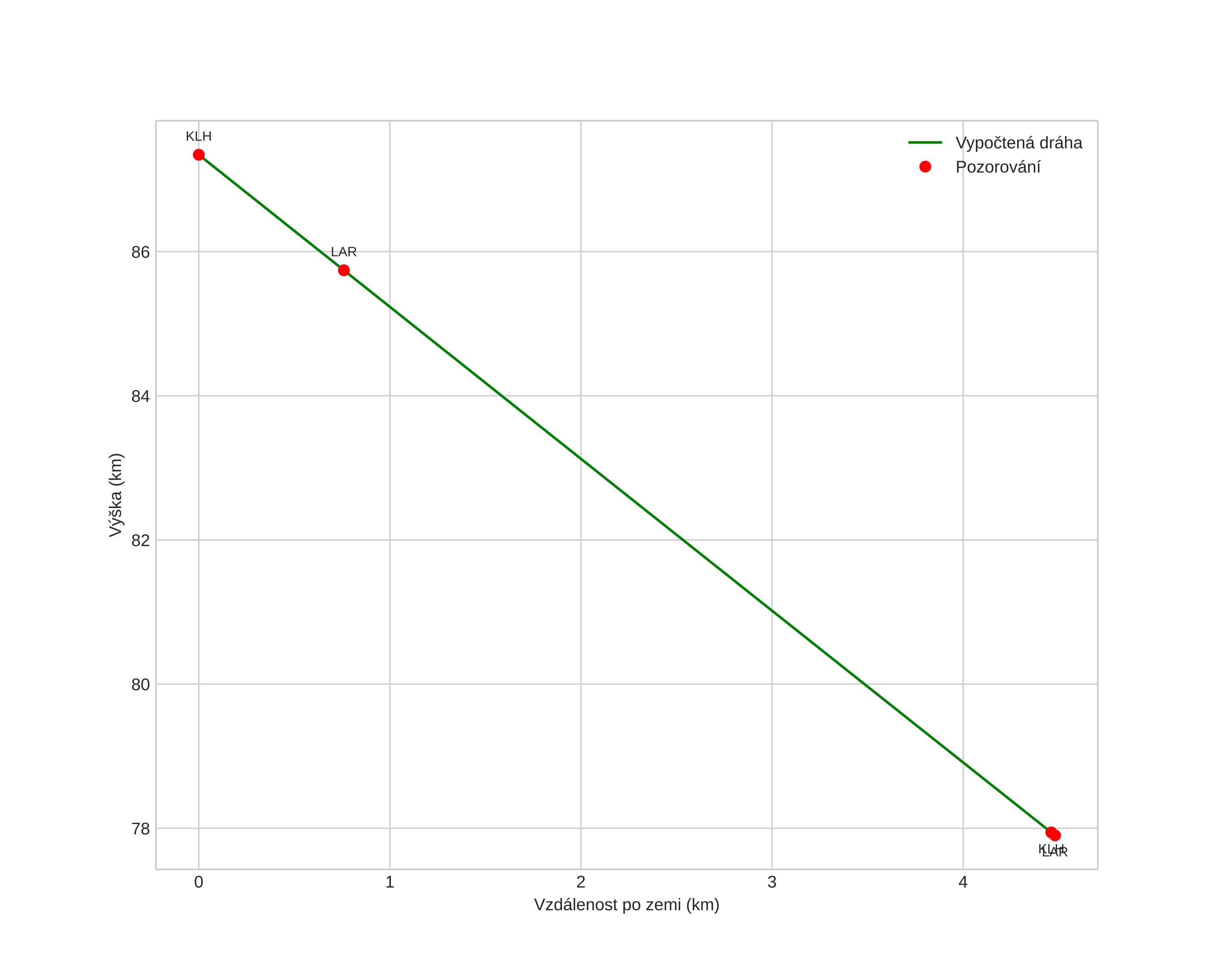
Atmosférická dráha meteoru:
Počáteční výška: 87,3 km
Konečná výška: 75,9 km
Počáteční poloha: 58,076N 10,178E
Konečná poloha: 58,064N 10,266E
Směr: 105,2°
Sklon: 64,6°
VstupnĂ­ rychlost: 23,5 km/s
Rektascenze radiantu: 17:03 (255,8°)
Deklinace radiantu: 54,5°
MeteorickĂ˝ roj: sporadickĂ˝
Elementy dráhy meteoroidu:
Vzdálenost v periheliu: 1,011 AU
Excentricita: 0,818
Sklon dráhy: 30,5°
Délka vzestupného uzlu: 151,4°
Argument perihelia: 179,0°
Střední anomálie: 0,1°
Epocha: 2022 AUG 24 21:32:38
orbit plot

NeinteraktivnĂ­ graf | InteraktivnĂ­ graf

position vs time
speed and acceleration