🇳🇴 🇬🇧 🇩🇪 🇨🇿 🇫🇮

Meteor Skagenin yllä 2022-08-24 21:32:38 UTC

KML-tiedosto  |  Interaktiivinen kartta

Kartta näyttää meteorin suuntahavainnot. Vaaleammat viivat näyttävät suunnat havaintoasemilta meteorin ilmestyessä, ja tummemmat viivat näyttävät, missä se viimeksi nähtiin. Sininen nuoli näyttää meteorin näkyvän lennon.

static map
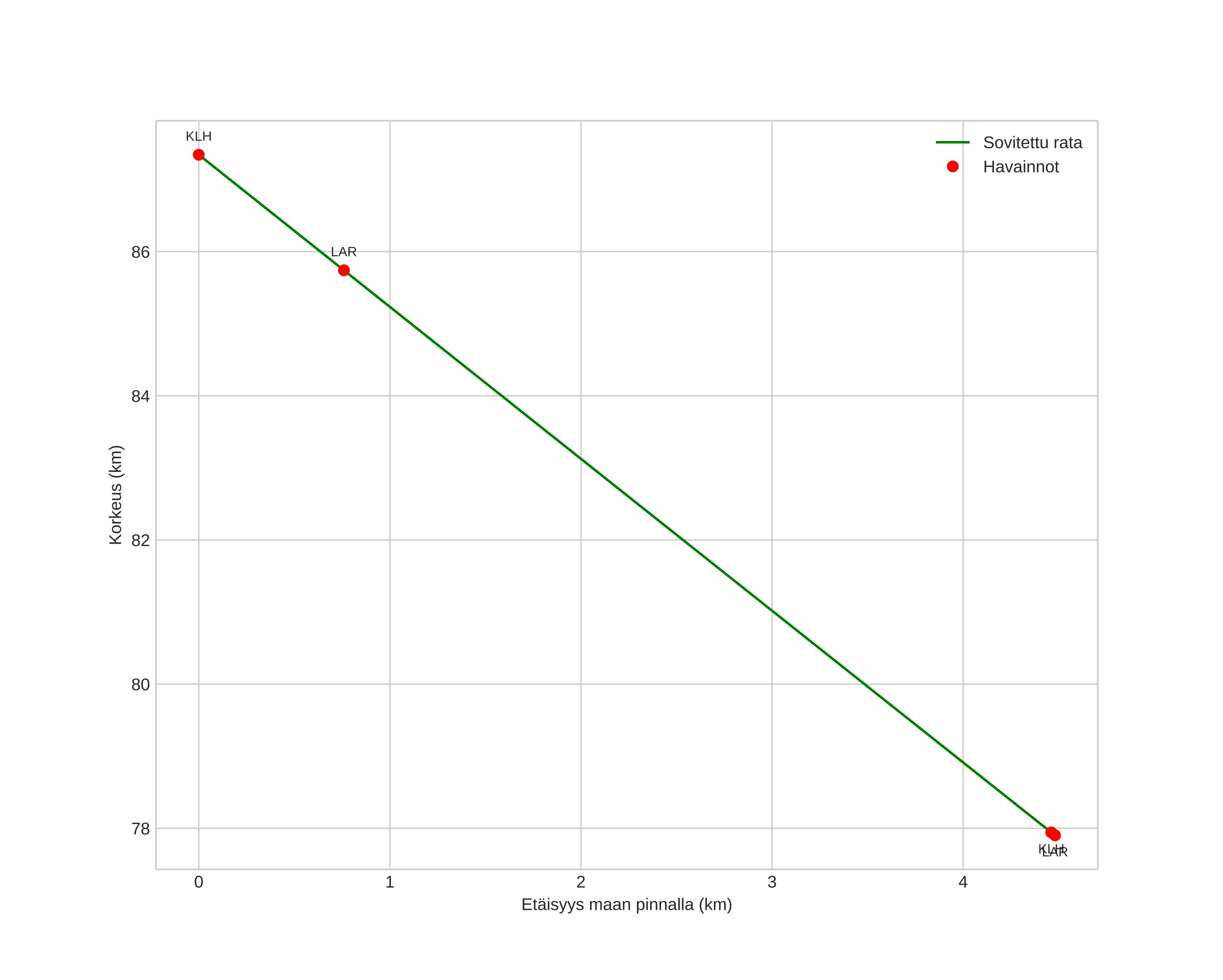
height profile
Meteorin ilmakehärata:
Alkukorkeus: 87,3 km
Loppukorkeus: 75,9 km
Alkupiste: 58,076N 10,178E
Loppupiste: 58,064N 10,266E
Suunta: 105,2°
Kallistuskulma: 64,6°
Tulonopeus: 23,5 km/s
Radiantin R,A,: 17:03 (255,8°)
Radiantin Dekl,: 54,5°
Meteoriparvi: Sporadinen
Meteoroidin rataelementit:
Perihelietäisyys: 1,011 AU
Eksentrisyys: 0,818
Inklinaatio: 30,5°
Nousevan solmun pituus: 151,4°
Perihelin argumentti: 179,0°
Keskianomalia: 0,1°
Epookki: 2022 AUG 24 21:32:38
orbit plot

Ei-interaktiivinen kuvaaja | Interaktiivinen kuvaaja

position vs time
speed and acceleration