🇳🇴 🇬🇧 🇩🇪 🇨🇿 🇫🇮

Meteor, poloha: Hvide Sande 2022-08-25 21:56:39 UTC

Soubor KML  |  InteraktivnĂ­ mapa

Mapa zobrazuje dráhy meteoru. Světlejší čáry ukazují směry od pozorovacích stanic při objevení se meteoru a tmavší čáry, kde byl naposledy viděn. Modrá šipka značí viditelnou dráhu meteoru.

static map
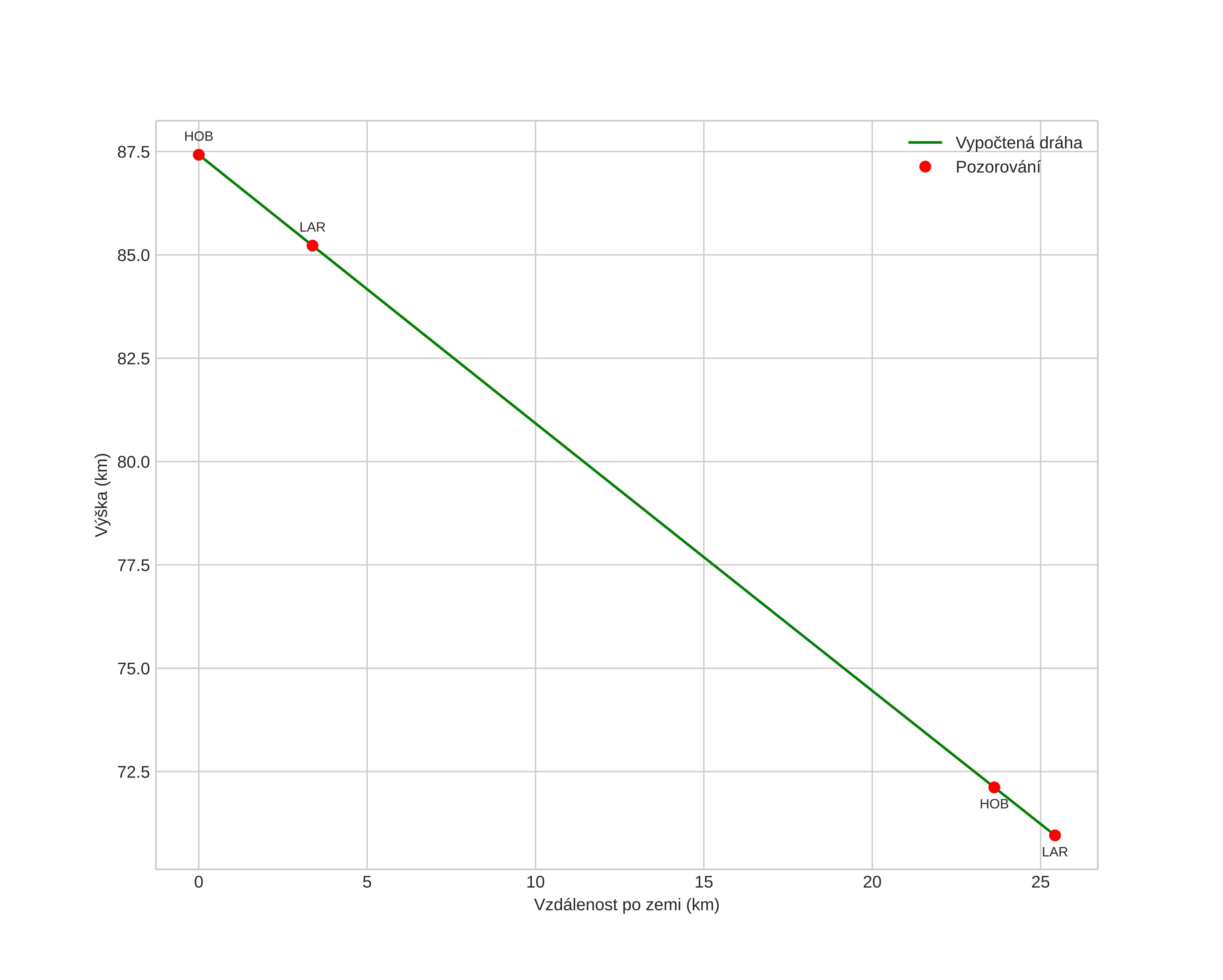
height profile
Atmosférická dráha meteoru:
Počáteční výška: 87,4 km
Konečná výška: 71,0 km
Počáteční poloha: 55,457N 7,869E
Konečná poloha: 55,676N 7,754E
Směr: 343,6°
Sklon: 32,8°
VstupnĂ­ rychlost: 22,2 km/s
Rektascenze radiantu: 21:37 (324,5°)
Deklinace radiantu: -5,2°
MeteorickĂ˝ roj: sporadickĂ˝
Elementy dráhy meteoroidu:
Vzdálenost v periheliu: 0,686 AU
Excentricita: 0,720
Sklon dráhy: 5,1°
Délka vzestupného uzlu: 152,4°
Argument perihelia: 256,5°
Střední anomálie: 348,6°
Epocha: 2022 AUG 25 21:56:39
orbit plot

NeinteraktivnĂ­ graf | InteraktivnĂ­ graf

position vs time
speed and acceleration