🇳🇴 🇬🇧 🇩🇪 🇨🇿 🇫🇮

Meteor Hvide Sanden yllä 2022-08-25 21:56:39 UTC

KML-tiedosto  |  Interaktiivinen kartta

Kartta näyttää meteorin suuntahavainnot. Vaaleammat viivat näyttävät suunnat havaintoasemilta meteorin ilmestyessä, ja tummemmat viivat näyttävät, missä se viimeksi nähtiin. Sininen nuoli näyttää meteorin näkyvän lennon.

static map
height profile
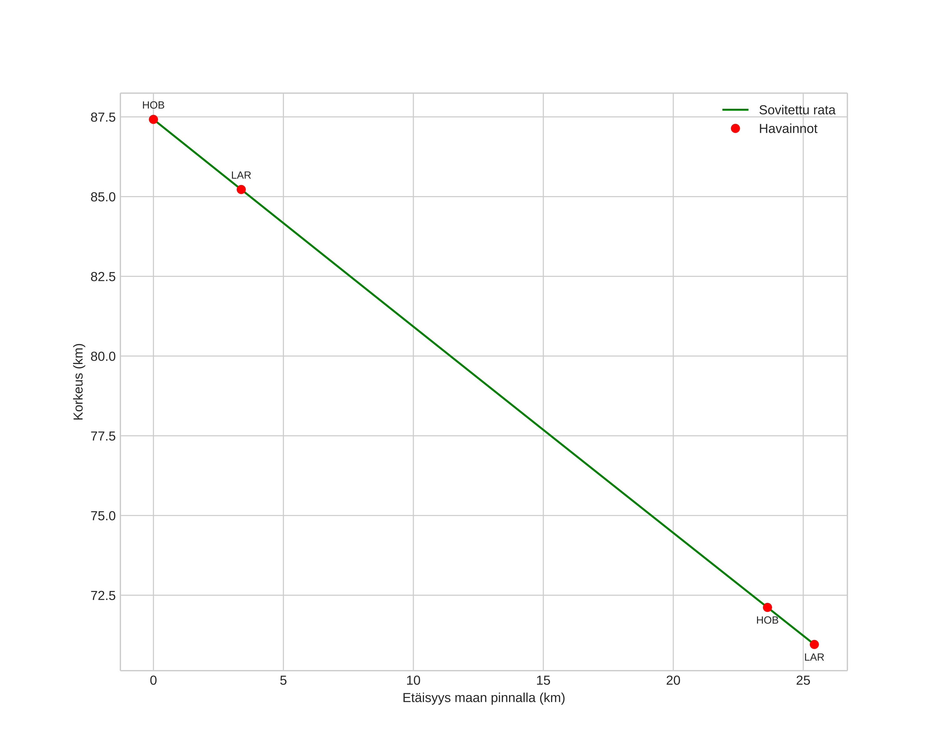
Meteorin ilmakehärata:
Alkukorkeus: 87,4 km
Loppukorkeus: 71,0 km
Alkupiste: 55,457N 7,869E
Loppupiste: 55,676N 7,754E
Suunta: 343,6°
Kallistuskulma: 32,8°
Tulonopeus: 22,2 km/s
Radiantin R,A,: 21:37 (324,5°)
Radiantin Dekl,: -5,2°
Meteoriparvi: Sporadinen
Meteoroidin rataelementit:
Perihelietäisyys: 0,686 AU
Eksentrisyys: 0,720
Inklinaatio: 5,1°
Nousevan solmun pituus: 152,4°
Perihelin argumentti: 256,5°
Keskianomalia: 348,6°
Epookki: 2022 AUG 25 21:56:39
orbit plot

Ei-interaktiivinen kuvaaja | Interaktiivinen kuvaaja

position vs time
speed and acceleration