🇳🇴 🇬🇧 🇩🇪 🇨🇿 🇫🇮

Meteor, poloha: Grenaa 2022-08-28 02:33:33 UTC

Soubor KML  |  InteraktivnĂ­ mapa

Mapa zobrazuje dráhy meteoru. Světlejší čáry ukazují směry od pozorovacích stanic při objevení se meteoru a tmavší čáry, kde byl naposledy viděn. Modrá šipka značí viditelnou dráhu meteoru.

static map
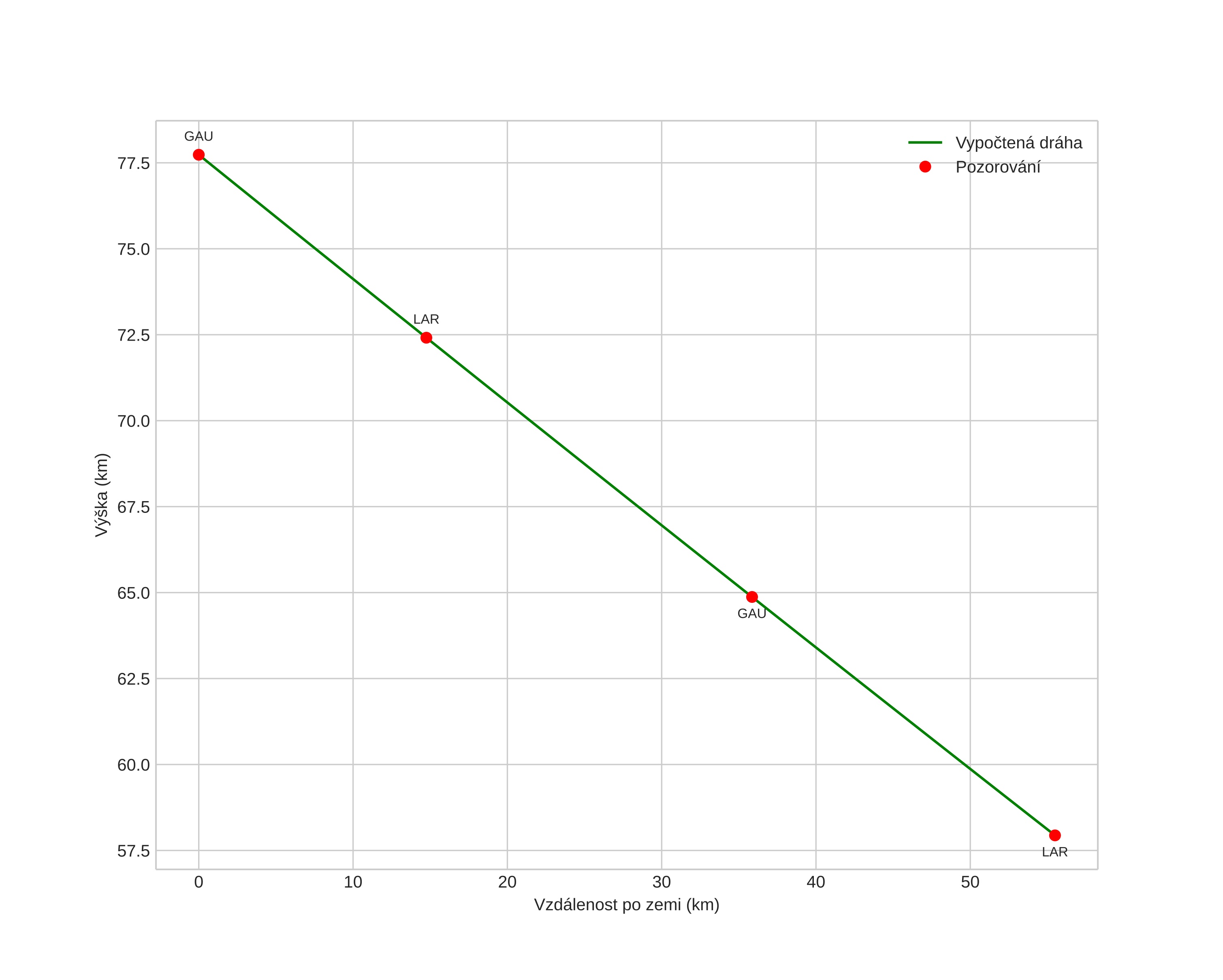
height profile
Atmosférická dráha meteoru:
Počáteční výška: 80,1 km
Konečná výška: 57,9 km
Počáteční poloha: 56,428N 10,485E
Konečná poloha: 56,357N 11,297E
Směr: 98,6°
Sklon: 23,7°
VstupnĂ­ rychlost: 23,9 km/s
Rektascenze radiantu: 19:55 (298,8°)
Deklinace radiantu: 20,3°
MeteorickĂ˝ roj: sporadickĂ˝
Elementy dráhy meteoroidu:
Vzdálenost v periheliu: 0,889 AU
Excentricita: 1,044
Sklon dráhy: 20,4°
Délka vzestupného uzlu: 154,5°
Argument perihelia: 220,0°
Střední anomálie: -0,3°
Epocha: 2022 AUG 28 02:33:33
orbit plot

NeinteraktivnĂ­ graf | InteraktivnĂ­ graf

position vs time
speed and acceleration