🇳🇴 🇬🇧 🇩🇪 🇨🇿 🇫🇮

Meteor Grenaan yllä 2022-08-28 02:33:33 UTC

KML-tiedosto  |  Interaktiivinen kartta

Kartta näyttää meteorin suuntahavainnot. Vaaleammat viivat näyttävät suunnat havaintoasemilta meteorin ilmestyessä, ja tummemmat viivat näyttävät, missä se viimeksi nähtiin. Sininen nuoli näyttää meteorin näkyvän lennon.

static map
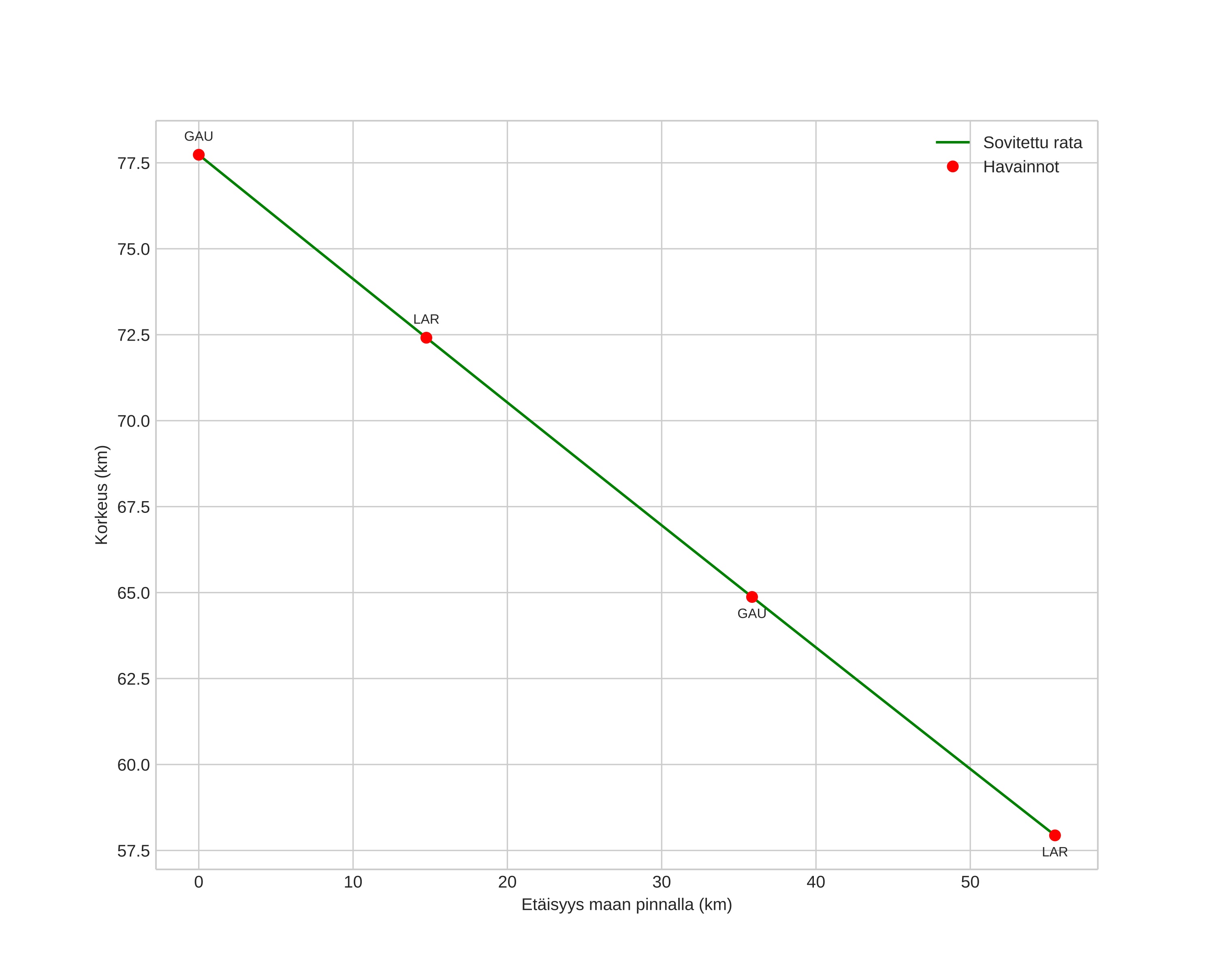
height profile
Meteorin ilmakehärata:
Alkukorkeus: 80,1 km
Loppukorkeus: 57,9 km
Alkupiste: 56,428N 10,485E
Loppupiste: 56,357N 11,297E
Suunta: 98,6°
Kallistuskulma: 23,7°
Tulonopeus: 23,9 km/s
Radiantin R,A,: 19:55 (298,8°)
Radiantin Dekl,: 20,3°
Meteoriparvi: Sporadinen
Meteoroidin rataelementit:
Perihelietäisyys: 0,889 AU
Eksentrisyys: 1,044
Inklinaatio: 20,4°
Nousevan solmun pituus: 154,5°
Perihelin argumentti: 220,0°
Keskianomalia: -0,3°
Epookki: 2022 AUG 28 02:33:33
orbit plot

Ei-interaktiivinen kuvaaja | Interaktiivinen kuvaaja

position vs time
speed and acceleration