🇳🇴 🇬🇧 🇩🇪 🇨🇿 🇫🇮

Meteor, poloha: Farnes 2022-08-28 21:53:31 UTC

Soubor KML  |  InteraktivnĂ­ mapa

Mapa zobrazuje dráhy meteoru. Světlejší čáry ukazují směry od pozorovacích stanic při objevení se meteoru a tmavší čáry, kde byl naposledy viděn. Modrá šipka značí viditelnou dráhu meteoru.

static map
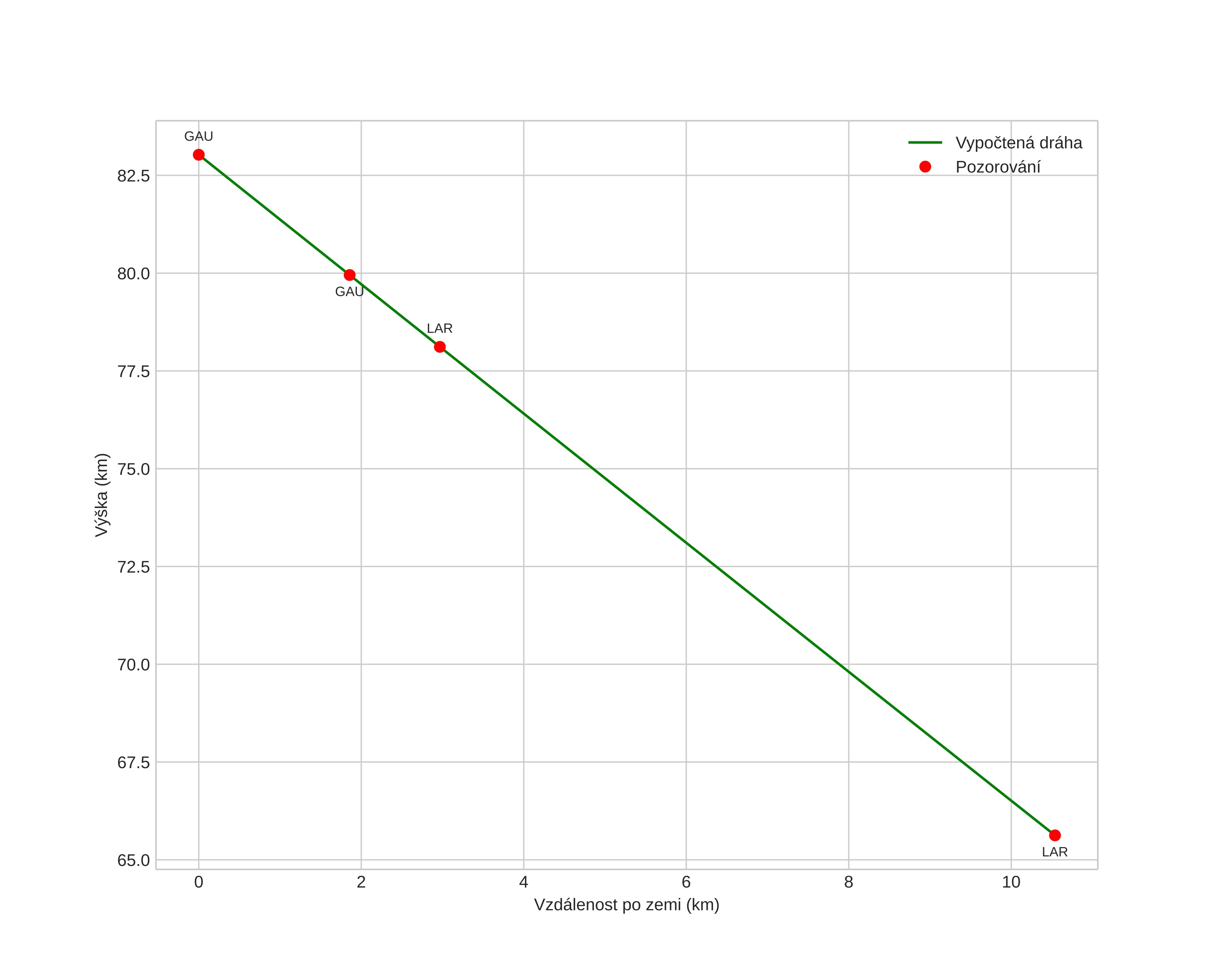
height profile
Atmosférická dráha meteoru:
Počáteční výška: 83,1 km
Konečná výška: 65,6 km
Počáteční poloha: 61,072N 7,888E
Konečná poloha: 61,022N 8,056E
Směr: 121,8°
Sklon: 58,6°
VstupnĂ­ rychlost: 23,7 km/s
Rektascenze radiantu: 16:03 (240,9°)
Deklinace radiantu: 60,1°
MeteorickĂ˝ roj: sporadickĂ˝
Elementy dráhy meteoroidu:
Vzdálenost v periheliu: 0,999 AU
Excentricita: 0,708
Sklon dráhy: 32,0°
Délka vzestupného uzlu: 155,3°
Argument perihelia: 166,5°
Střední anomálie: 1,6°
Epocha: 2022 AUG 28 21:53:31
orbit plot

NeinteraktivnĂ­ graf | InteraktivnĂ­ graf

position vs time
speed and acceleration