🇳🇴 🇬🇧 🇩🇪 🇨🇿 🇫🇮

Meteor Farnesin yllä 2022-08-28 21:53:31 UTC

KML-tiedosto  |  Interaktiivinen kartta

Kartta näyttää meteorin suuntahavainnot. Vaaleammat viivat näyttävät suunnat havaintoasemilta meteorin ilmestyessä, ja tummemmat viivat näyttävät, missä se viimeksi nähtiin. Sininen nuoli näyttää meteorin näkyvän lennon.

static map
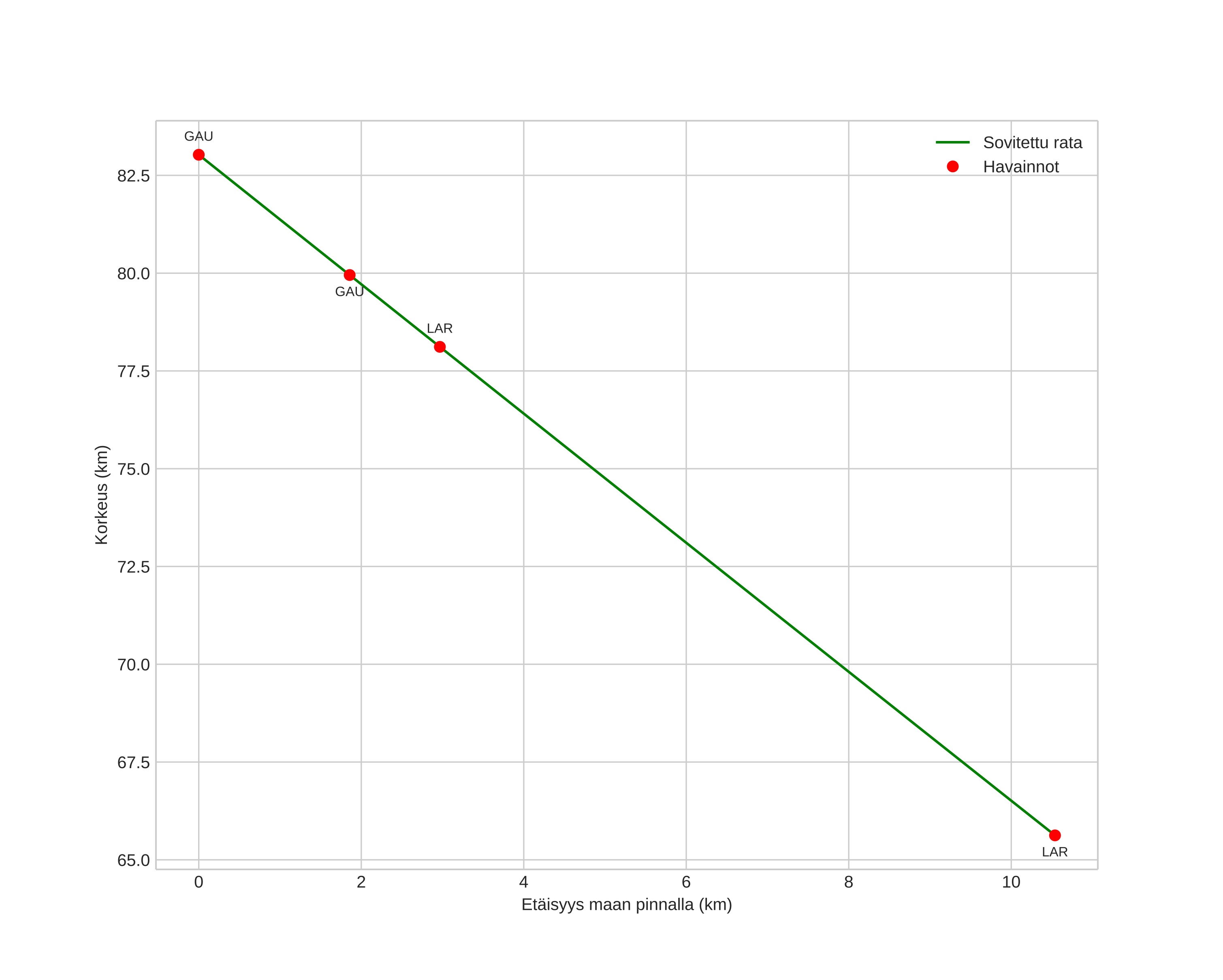
height profile
Meteorin ilmakehärata:
Alkukorkeus: 83,1 km
Loppukorkeus: 65,6 km
Alkupiste: 61,072N 7,888E
Loppupiste: 61,022N 8,056E
Suunta: 121,8°
Kallistuskulma: 58,6°
Tulonopeus: 23,7 km/s
Radiantin R,A,: 16:03 (240,9°)
Radiantin Dekl,: 60,1°
Meteoriparvi: Sporadinen
Meteoroidin rataelementit:
Perihelietäisyys: 0,999 AU
Eksentrisyys: 0,708
Inklinaatio: 32,0°
Nousevan solmun pituus: 155,3°
Perihelin argumentti: 166,5°
Keskianomalia: 1,6°
Epookki: 2022 AUG 28 21:53:31
orbit plot

Ei-interaktiivinen kuvaaja | Interaktiivinen kuvaaja

position vs time
speed and acceleration