🇳🇴 🇬🇧 🇩🇪 🇨🇿 🇫🇮

Meteor, poloha: Løkken 2022-08-28 23:19:21 UTC

Soubor KML  |  InteraktivnĂ­ mapa

Mapa zobrazuje dráhy meteoru. Světlejší čáry ukazují směry od pozorovacích stanic při objevení se meteoru a tmavší čáry, kde byl naposledy viděn. Modrá šipka značí viditelnou dráhu meteoru.

static map
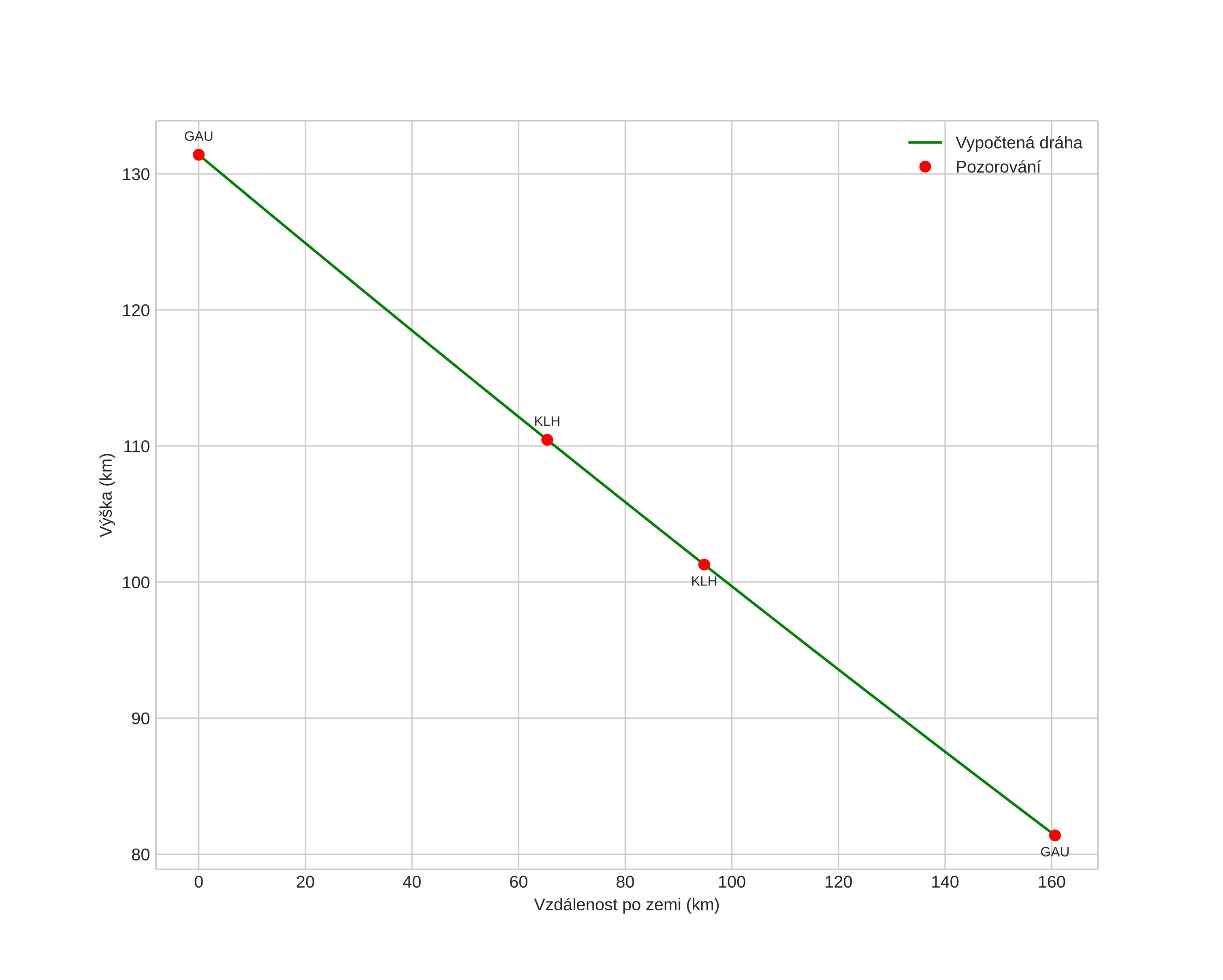
height profile
Atmosférická dráha meteoru:
Počáteční výška: 111,6 km
Konečná výška: 96,8 km
Počáteční poloha: 58,126N 9,893E
Konečná poloha: 57,820N 9,304E
Směr: 225,8°
Sklon: 16,9°
VstupnĂ­ rychlost: 70,2 km/s
Rektascenze radiantu: 06:31 (97,8°)
Deklinace radiantu: 36,4°
MeteorickĂ˝ roj: alpha-aurigidene
Elementy dráhy meteoroidu:
Vzdálenost v periheliu: 0,525 AU
Excentricita: 1,275
Sklon dráhy: 150,7°
Délka vzestupného uzlu: 155,3°
Argument perihelia: 98,2°
Střední anomálie: 12,8°
Epocha: 2022 AUG 28 23:19:21
orbit plot

NeinteraktivnĂ­ graf | InteraktivnĂ­ graf

position vs time
speed and acceleration