🇳🇴 🇬🇧 🇩🇪 🇨🇿 🇫🇮

Meteor Løkkenin yllä 2022-08-28 23:19:21 UTC

KML-tiedosto  |  Interaktiivinen kartta

Kartta näyttää meteorin suuntahavainnot. Vaaleammat viivat näyttävät suunnat havaintoasemilta meteorin ilmestyessä, ja tummemmat viivat näyttävät, missä se viimeksi nähtiin. Sininen nuoli näyttää meteorin näkyvän lennon.

static map
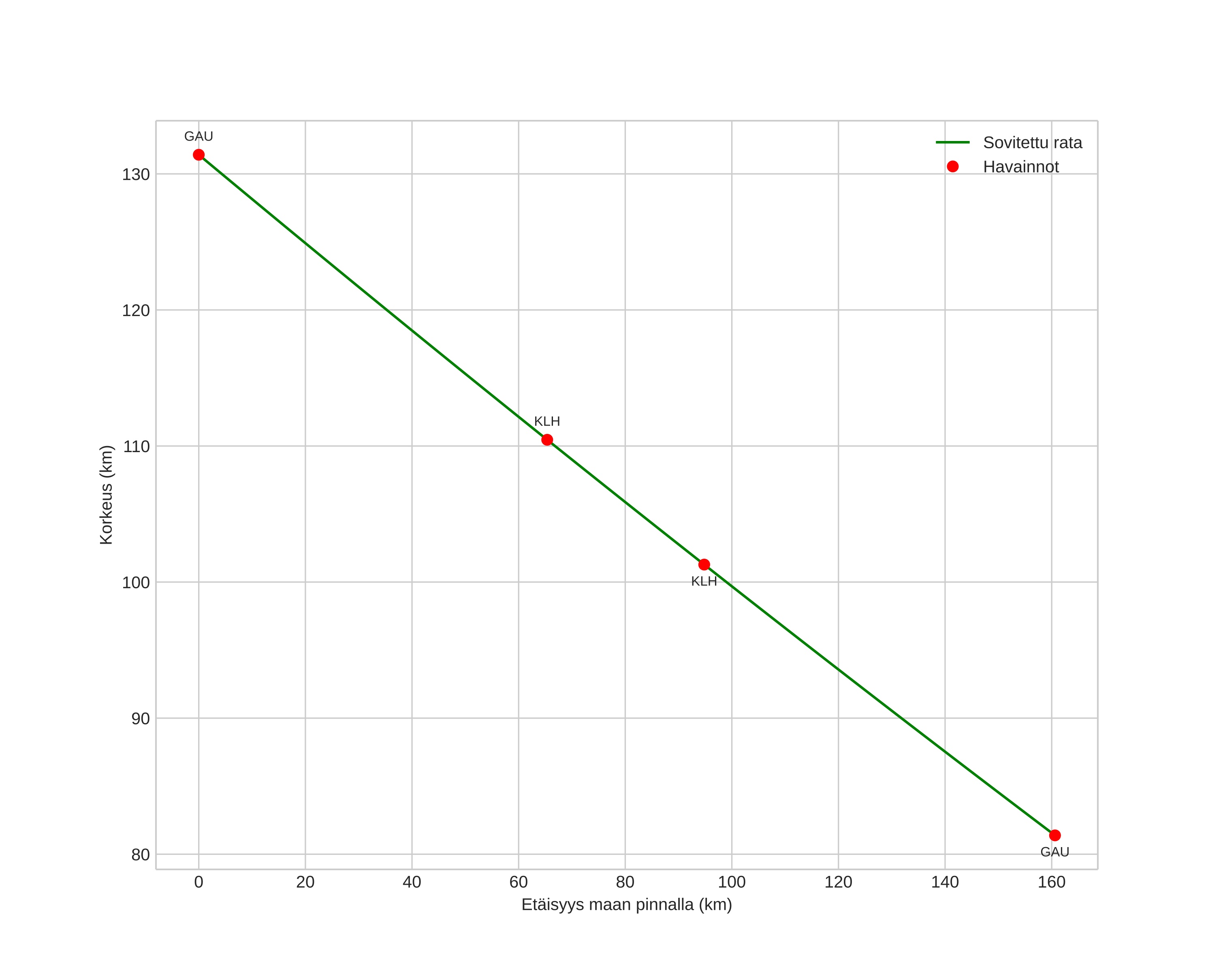
height profile
Meteorin ilmakehärata:
Alkukorkeus: 111,6 km
Loppukorkeus: 96,8 km
Alkupiste: 58,126N 9,893E
Loppupiste: 57,820N 9,304E
Suunta: 225,8°
Kallistuskulma: 16,9°
Tulonopeus: 70,2 km/s
Radiantin R,A,: 06:31 (97,8°)
Radiantin Dekl,: 36,4°
Meteoriparvi: alpha-aurigidene
Meteoroidin rataelementit:
Perihelietäisyys: 0,525 AU
Eksentrisyys: 1,275
Inklinaatio: 150,7°
Nousevan solmun pituus: 155,3°
Perihelin argumentti: 98,2°
Keskianomalia: 12,8°
Epookki: 2022 AUG 28 23:19:21
orbit plot

Ei-interaktiivinen kuvaaja | Interaktiivinen kuvaaja

position vs time
speed and acceleration