🇳🇴 🇬🇧 🇩🇪 🇨🇿 🇫🇮

Meteor, poloha: Bjørkelangen 2022-08-28 23:28:18 UTC

Soubor KML  |  InteraktivnĂ­ mapa

Mapa zobrazuje dráhy meteoru. Světlejší čáry ukazují směry od pozorovacích stanic při objevení se meteoru a tmavší čáry, kde byl naposledy viděn. Modrá šipka značí viditelnou dráhu meteoru.

static map
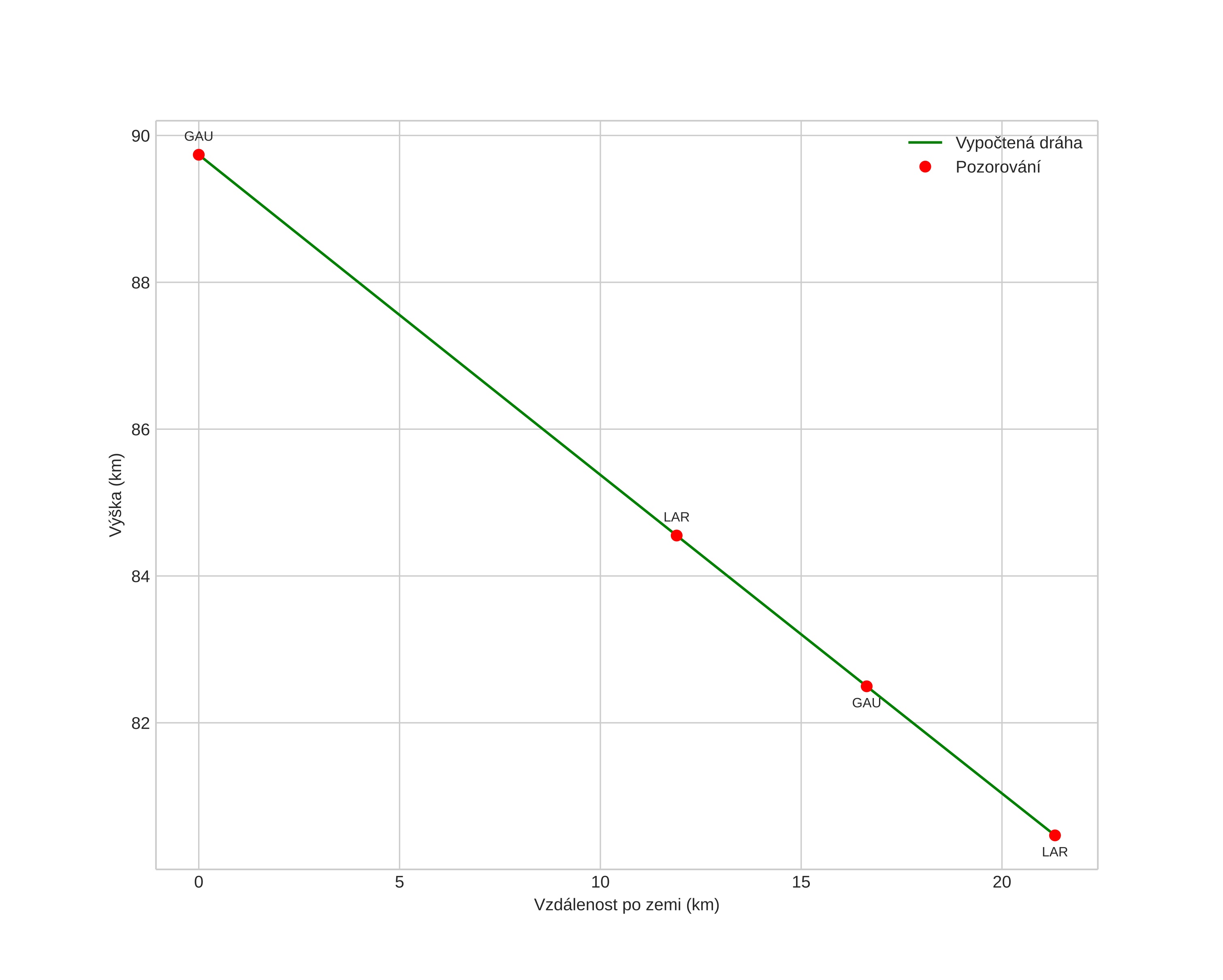
height profile
Atmosférická dráha meteoru:
Počáteční výška: 89,8 km
Konečná výška: 80,5 km
Počáteční poloha: 59,704N 11,265E
Konečná poloha: 59,846N 11,524E
Směr: 42,3°
Sklon: 23,5°
VstupnĂ­ rychlost: 15,6 km/s
Rektascenze radiantu: 19:47 (296,8°)
Deklinace radiantu: -12,0°
MeteorickĂ˝ roj: sporadickĂ˝
Elementy dráhy meteoroidu:
Vzdálenost v periheliu: 0,935 AU
Excentricita: 0,631
Sklon dráhy: 2,7°
Délka vzestupného uzlu: 155,3°
Argument perihelia: 216,0°
Střední anomálie: 353,3°
Epocha: 2022 AUG 28 23:28:18
orbit plot

NeinteraktivnĂ­ graf | InteraktivnĂ­ graf

position vs time
speed and acceleration