🇳🇴 🇬🇧 🇩🇪 🇨🇿 🇫🇮

Meteor Bjørkelangenin yllä 2022-08-28 23:28:18 UTC

KML-tiedosto  |  Interaktiivinen kartta

Kartta näyttää meteorin suuntahavainnot. Vaaleammat viivat näyttävät suunnat havaintoasemilta meteorin ilmestyessä, ja tummemmat viivat näyttävät, missä se viimeksi nähtiin. Sininen nuoli näyttää meteorin näkyvän lennon.

static map
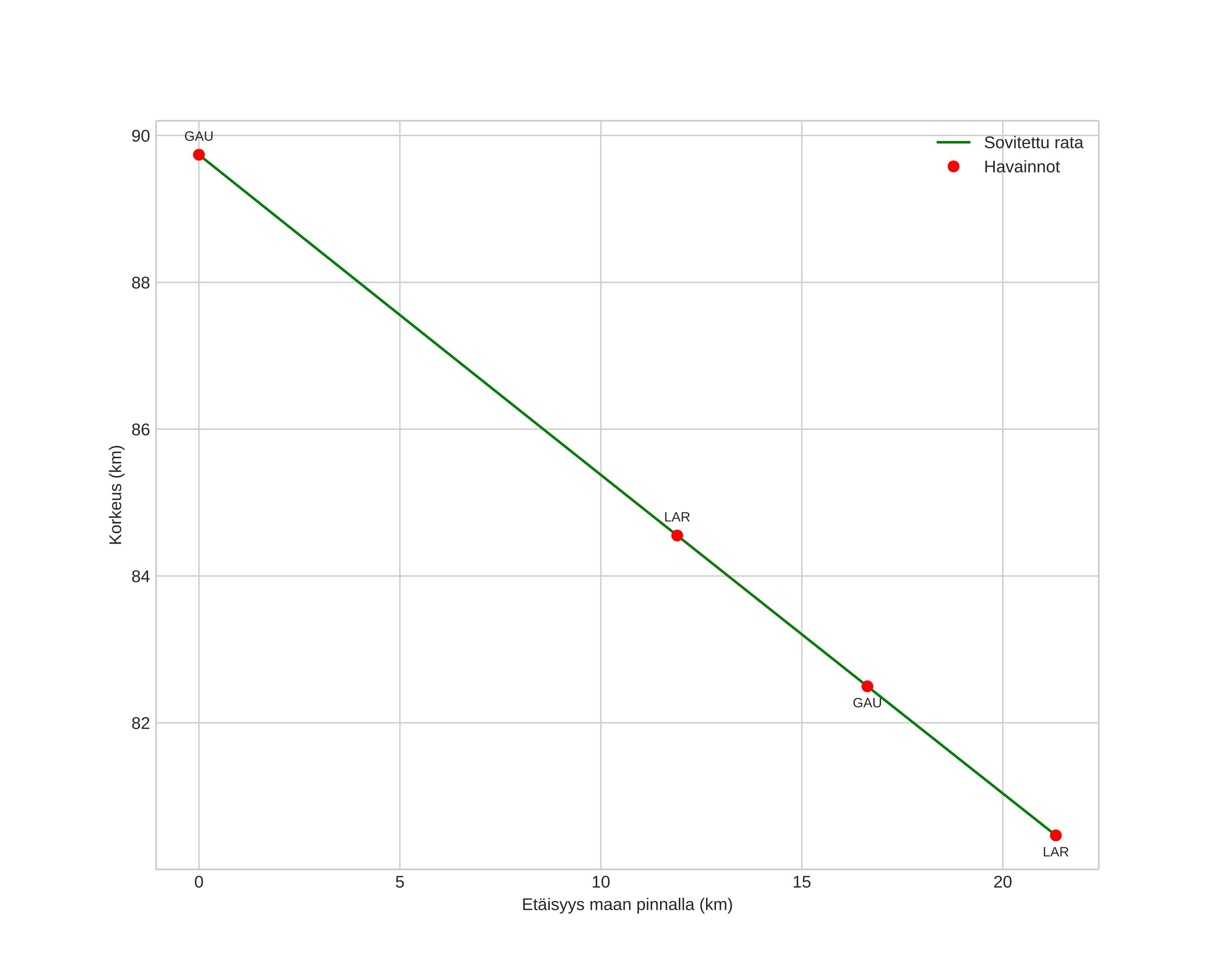
height profile
Meteorin ilmakehärata:
Alkukorkeus: 89,8 km
Loppukorkeus: 80,5 km
Alkupiste: 59,704N 11,265E
Loppupiste: 59,846N 11,524E
Suunta: 42,3°
Kallistuskulma: 23,5°
Tulonopeus: 15,6 km/s
Radiantin R,A,: 19:47 (296,8°)
Radiantin Dekl,: -12,0°
Meteoriparvi: Sporadinen
Meteoroidin rataelementit:
Perihelietäisyys: 0,935 AU
Eksentrisyys: 0,631
Inklinaatio: 2,7°
Nousevan solmun pituus: 155,3°
Perihelin argumentti: 216,0°
Keskianomalia: 353,3°
Epookki: 2022 AUG 28 23:28:18
orbit plot

Ei-interaktiivinen kuvaaja | Interaktiivinen kuvaaja

position vs time
speed and acceleration