🇳🇴 🇬🇧 🇩🇪 🇨🇿 🇫🇮

Meteor, poloha: Lystrup 2022-08-29 20:49:16 UTC

Soubor KML  |  InteraktivnĂ­ mapa

Mapa zobrazuje dráhy meteoru. Světlejší čáry ukazují směry od pozorovacích stanic při objevení se meteoru a tmavší čáry, kde byl naposledy viděn. Modrá šipka značí viditelnou dráhu meteoru.

static map
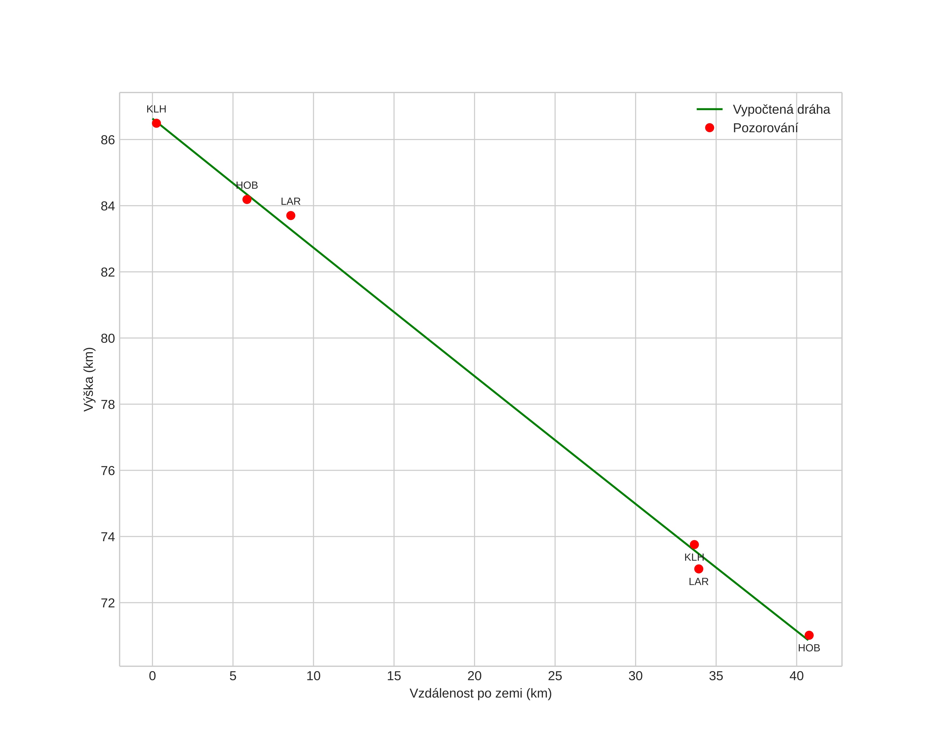
height profile
Atmosférická dráha meteoru:
Počáteční výška: 86,6 km
Konečná výška: 70,9 km
Počáteční poloha: 56,445N 11,155E
Konečná poloha: 56,677N 10,642E
Směr: 309,6°
Sklon: 21,1°
VstupnĂ­ rychlost: 28,4 km/s
Rektascenze radiantu: 23:12 (348,1°)
Deklinace radiantu: -4,8°
MeteorickĂ˝ roj: sporadickĂ˝
Elementy dráhy meteoroidu:
Vzdálenost v periheliu: 0,388 AU
Excentricita: 0,787
Sklon dráhy: 0,3°
Délka vzestupného uzlu: 156,4°
Argument perihelia: 293,3°
Střední anomálie: 341,6°
Epocha: 2022 AUG 29 20:49:16
orbit plot

NeinteraktivnĂ­ graf | InteraktivnĂ­ graf

position vs time
speed and acceleration