🇳🇴 🇬🇧 🇩🇪 🇨🇿 🇫🇮

Meteor Lystrupin yllä 2022-08-29 20:49:16 UTC

KML-tiedosto  |  Interaktiivinen kartta

Kartta näyttää meteorin suuntahavainnot. Vaaleammat viivat näyttävät suunnat havaintoasemilta meteorin ilmestyessä, ja tummemmat viivat näyttävät, missä se viimeksi nähtiin. Sininen nuoli näyttää meteorin näkyvän lennon.

static map
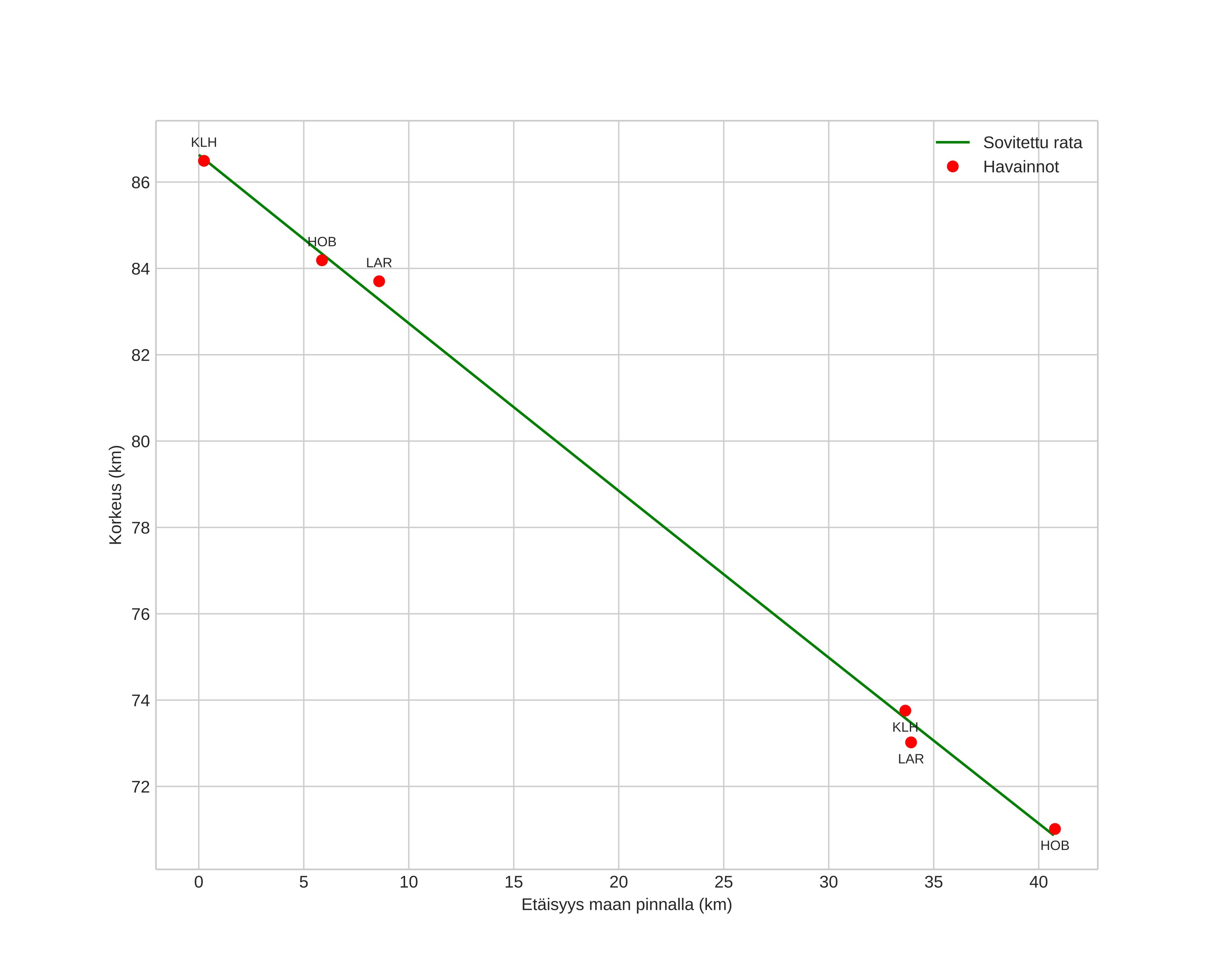
height profile
Meteorin ilmakehärata:
Alkukorkeus: 86,6 km
Loppukorkeus: 70,9 km
Alkupiste: 56,445N 11,155E
Loppupiste: 56,677N 10,642E
Suunta: 309,6°
Kallistuskulma: 21,1°
Tulonopeus: 28,4 km/s
Radiantin R,A,: 23:12 (348,1°)
Radiantin Dekl,: -4,8°
Meteoriparvi: Sporadinen
Meteoroidin rataelementit:
Perihelietäisyys: 0,388 AU
Eksentrisyys: 0,787
Inklinaatio: 0,3°
Nousevan solmun pituus: 156,4°
Perihelin argumentti: 293,3°
Keskianomalia: 341,6°
Epookki: 2022 AUG 29 20:49:16
orbit plot

Ei-interaktiivinen kuvaaja | Interaktiivinen kuvaaja

position vs time
speed and acceleration