🇳🇴 🇬🇧 🇩🇪 🇨🇿 🇫🇮

Meteor, poloha: Ljungskile 2022-08-29 23:56:19 UTC

Soubor KML  |  InteraktivnĂ­ mapa

Mapa zobrazuje dráhy meteoru. Světlejší čáry ukazují směry od pozorovacích stanic při objevení se meteoru a tmavší čáry, kde byl naposledy viděn. Modrá šipka značí viditelnou dráhu meteoru.

static map
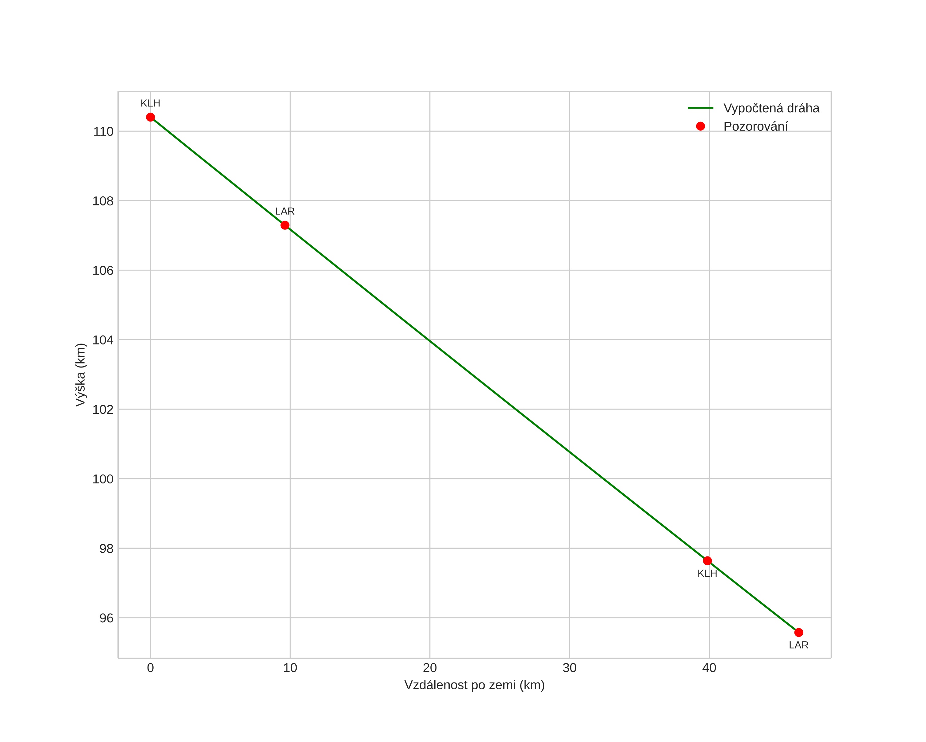
height profile
Atmosférická dráha meteoru:
Počáteční výška: 110,4 km
Konečná výška: 96,5 km
Počáteční poloha: 58,359N 12,550E
Konečná poloha: 58,302N 11,811E
Směr: 261,9°
Sklon: 17,7°
VstupnĂ­ rychlost: 73,0 km/s
Rektascenze radiantu: 05:07 (76,9°)
Deklinace radiantu: 18,8°
MeteorickĂ˝ roj: sporadickĂ˝
Elementy dráhy meteoroidu:
Vzdálenost v periheliu: 0,917 AU
Excentricita: 1,127
Sklon dráhy: 172,9°
Délka vzestupného uzlu: 336,3°
Argument perihelia: 325,7°
Střední anomálie: 1,1°
Epocha: 2022 AUG 29 23:56:19
orbit plot

NeinteraktivnĂ­ graf | InteraktivnĂ­ graf

position vs time
speed and acceleration