🇳🇴 🇬🇧 🇩🇪 🇨🇿 🇫🇮

Meteor Ljungskilen yllä 2022-08-29 23:56:19 UTC

KML-tiedosto  |  Interaktiivinen kartta

Kartta näyttää meteorin suuntahavainnot. Vaaleammat viivat näyttävät suunnat havaintoasemilta meteorin ilmestyessä, ja tummemmat viivat näyttävät, missä se viimeksi nähtiin. Sininen nuoli näyttää meteorin näkyvän lennon.

static map
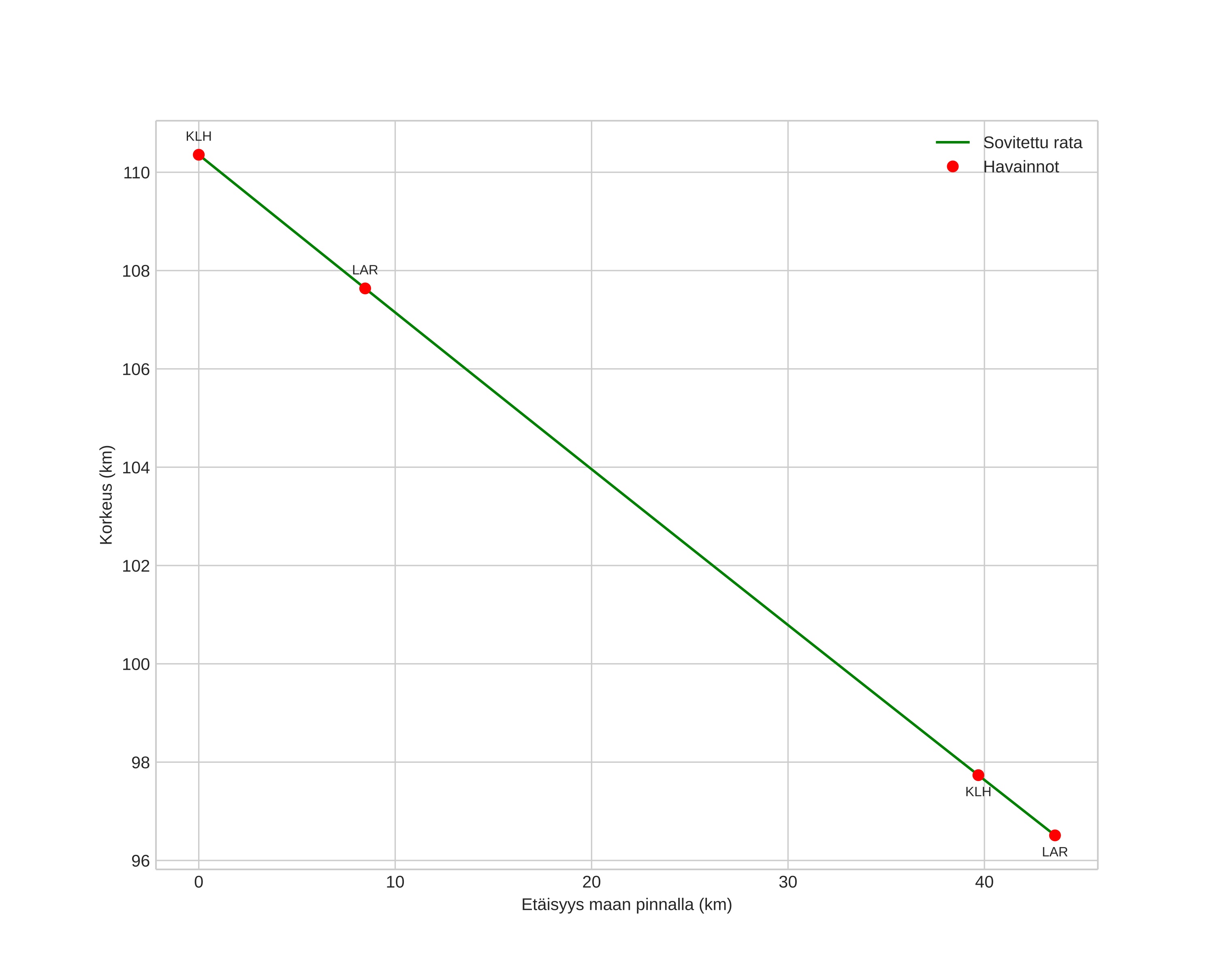
height profile
Meteorin ilmakehärata:
Alkukorkeus: 110,4 km
Loppukorkeus: 96,5 km
Alkupiste: 58,359N 12,550E
Loppupiste: 58,302N 11,811E
Suunta: 261,9°
Kallistuskulma: 17,7°
Tulonopeus: 73,0 km/s
Radiantin R,A,: 05:07 (76,9°)
Radiantin Dekl,: 18,8°
Meteoriparvi: Sporadinen
Meteoroidin rataelementit:
Perihelietäisyys: 0,917 AU
Eksentrisyys: 1,127
Inklinaatio: 172,9°
Nousevan solmun pituus: 336,3°
Perihelin argumentti: 325,7°
Keskianomalia: 1,1°
Epookki: 2022 AUG 29 23:56:19
orbit plot

Ei-interaktiivinen kuvaaja | Interaktiivinen kuvaaja

position vs time
speed and acceleration