🇳🇴 🇬🇧 🇩🇪 🇨🇿 🇫🇮

Meteor, poloha: Skagen 2022-08-30 23:42:35 UTC

Soubor KML  |  InteraktivnĂ­ mapa

Mapa zobrazuje dráhy meteoru. Světlejší čáry ukazují směry od pozorovacích stanic při objevení se meteoru a tmavší čáry, kde byl naposledy viděn. Modrá šipka značí viditelnou dráhu meteoru.

static map
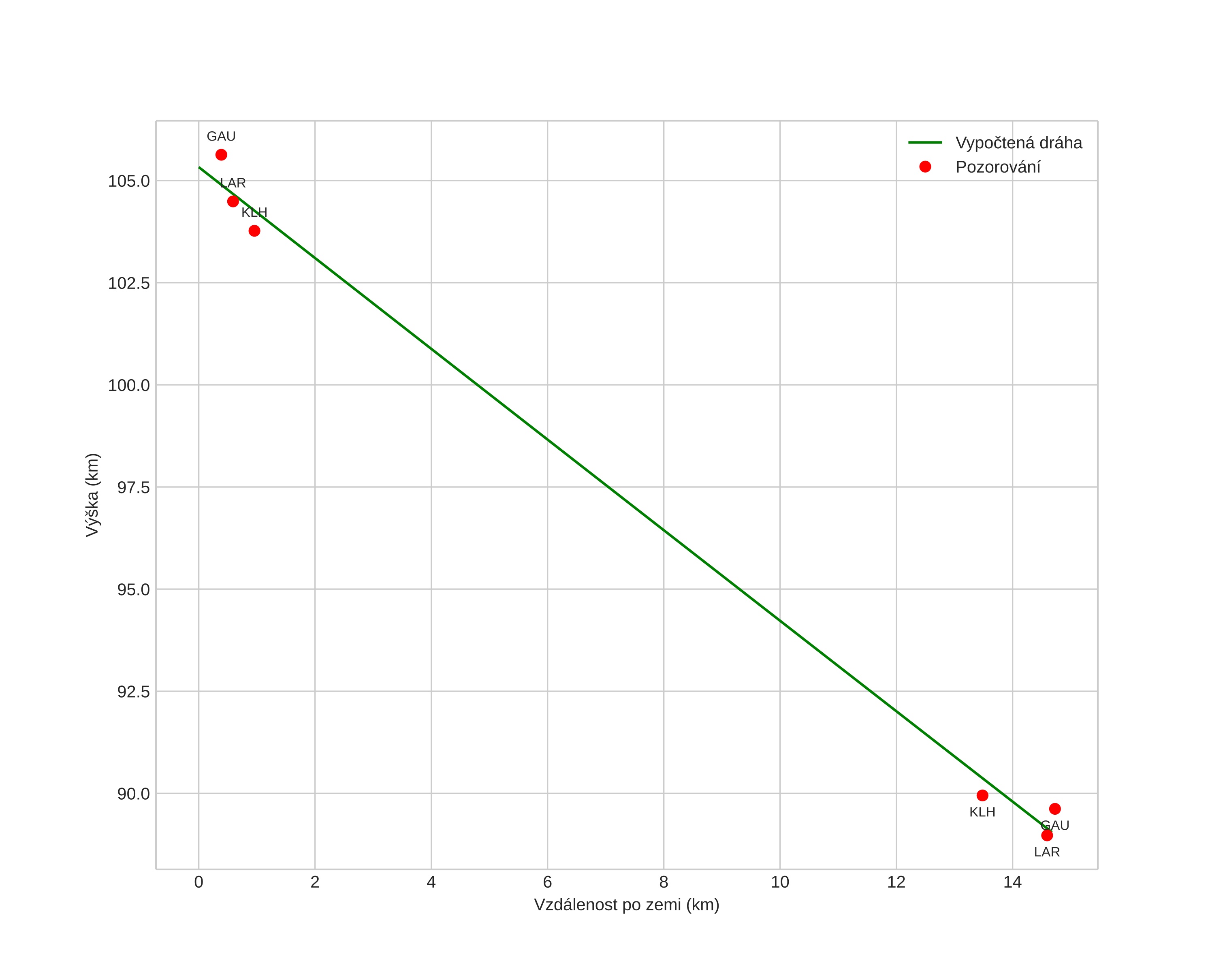
height profile
Atmosférická dráha meteoru:
Počáteční výška: 107,2 km
Konečná výška: 89,0 km
Počáteční poloha: 58,468N 10,656E
Konečná poloha: 58,368N 10,451E
Směr: 227,1°
Sklon: 48,0°
VstupnĂ­ rychlost: 64,3 km/s
Rektascenze radiantu: 05:00 (75,1°)
Deklinace radiantu: 60,6°
MeteorickĂ˝ roj: sporadickĂ˝
Elementy dráhy meteoroidu:
Vzdálenost v periheliu: 0,951 AU
Excentricita: 1,245
Sklon dráhy: 116,4°
Délka vzestupného uzlu: 157,3°
Argument perihelia: 153,5°
Střední anomálie: 2,2°
Epocha: 2022 AUG 30 23:42:35
orbit plot

NeinteraktivnĂ­ graf | InteraktivnĂ­ graf

position vs time
speed and acceleration