🇳🇴 🇬🇧 🇩🇪 🇨🇿 🇫🇮

Meteor Skagenin yllä 2022-08-30 23:42:35 UTC

KML-tiedosto  |  Interaktiivinen kartta

Kartta näyttää meteorin suuntahavainnot. Vaaleammat viivat näyttävät suunnat havaintoasemilta meteorin ilmestyessä, ja tummemmat viivat näyttävät, missä se viimeksi nähtiin. Sininen nuoli näyttää meteorin näkyvän lennon.

static map
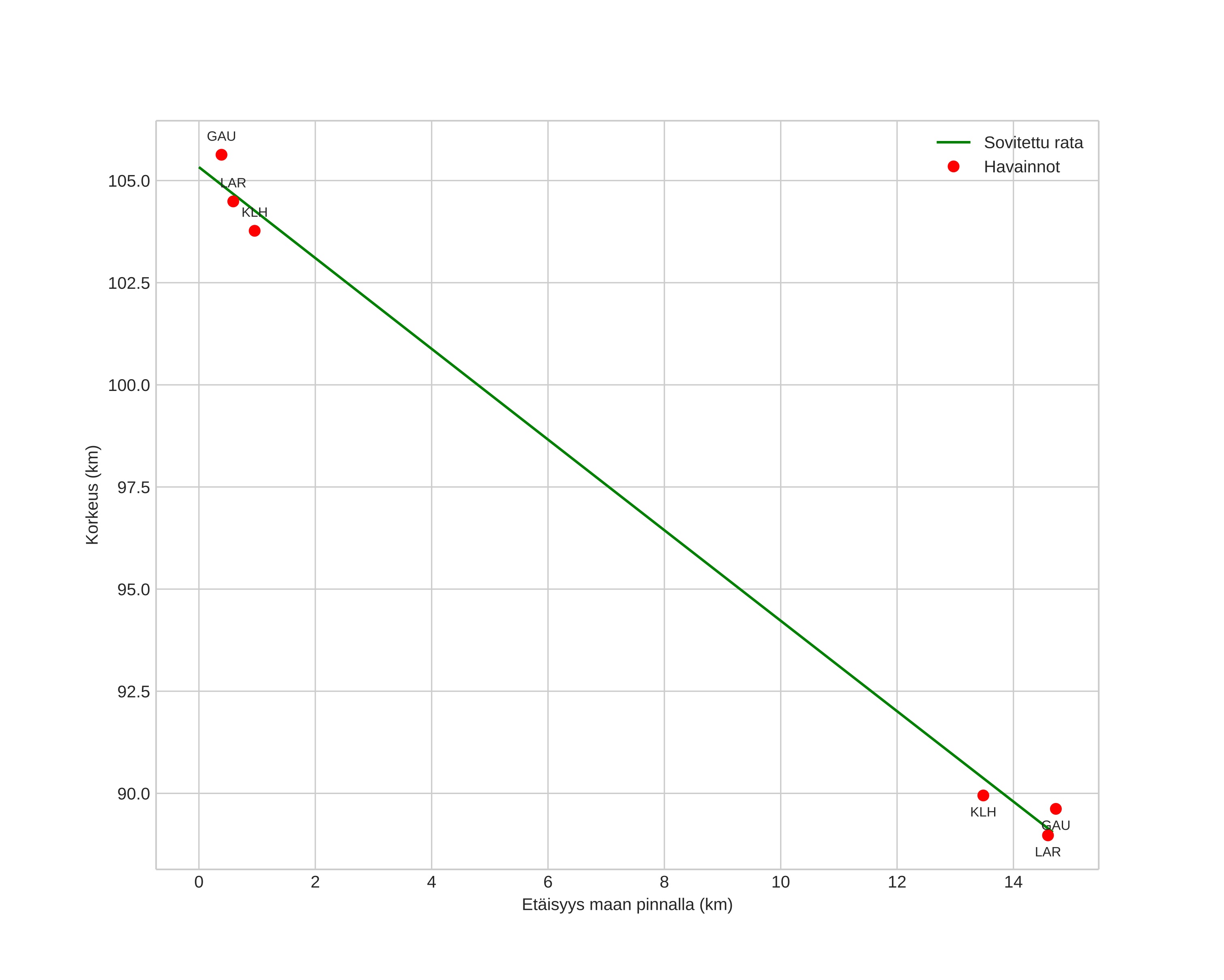
height profile
Meteorin ilmakehärata:
Alkukorkeus: 107,2 km
Loppukorkeus: 89,0 km
Alkupiste: 58,468N 10,656E
Loppupiste: 58,368N 10,451E
Suunta: 227,1°
Kallistuskulma: 48,0°
Tulonopeus: 64,3 km/s
Radiantin R,A,: 05:00 (75,1°)
Radiantin Dekl,: 60,6°
Meteoriparvi: Sporadinen
Meteoroidin rataelementit:
Perihelietäisyys: 0,951 AU
Eksentrisyys: 1,245
Inklinaatio: 116,4°
Nousevan solmun pituus: 157,3°
Perihelin argumentti: 153,5°
Keskianomalia: 2,2°
Epookki: 2022 AUG 30 23:42:35
orbit plot

Ei-interaktiivinen kuvaaja | Interaktiivinen kuvaaja

position vs time
speed and acceleration