🇳🇴 🇬🇧 🇩🇪 🇨🇿 🇫🇮

Meteor, poloha: Dokka 2022-08-31 23:24:39 UTC

Soubor KML  |  InteraktivnĂ­ mapa

Mapa zobrazuje dráhy meteoru. Světlejší čáry ukazují směry od pozorovacích stanic při objevení se meteoru a tmavší čáry, kde byl naposledy viděn. Modrá šipka značí viditelnou dráhu meteoru.

static map
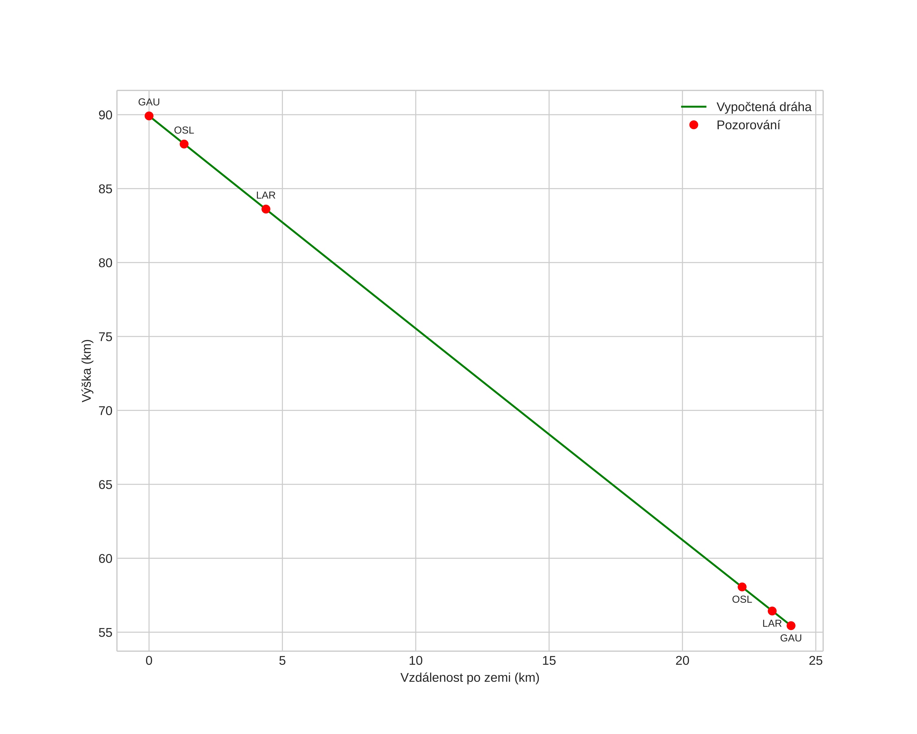
height profile
Atmosférická dráha meteoru:
Počáteční výška: 89,8 km
Konečná výška: 55,3 km
Počáteční poloha: 60,585N 9,580E
Konečná poloha: 60,547N 10,013E
Směr: 99,9°
Sklon: 55,1°
VstupnĂ­ rychlost: 20,3 km/s
Rektascenze radiantu: 18:24 (276,2°)
Deklinace radiantu: 47,0°
MeteorickĂ˝ roj: sporadickĂ˝
Elementy dráhy meteoroidu:
Vzdálenost v periheliu: 0,997 AU
Excentricita: 0,655
Sklon dráhy: 25,1°
Délka vzestupného uzlu: 158,2°
Argument perihelia: 194,1°
Střední anomálie: 357,8°
Epocha: 2022 AUG 31 23:24:39
orbit plot

NeinteraktivnĂ­ graf | InteraktivnĂ­ graf

position vs time
speed and acceleration

Voksenlia (OSL) cam2


gnomonic
Videa
• Gnomonická
• Gnomonická se souřadnicemi
• Původní
• Původní se souřadnicemi
Obrázky
• Gnomonická
• Gnomonická se souřadnicemi
• Původní
• Původní se souřadnicemi
Textové soubory
• Detekce
• Pozorování
• Chybová hlášení
• Protokol
Jasnost