🇳🇴 🇬🇧 🇩🇪 🇨🇿 🇫🇮

Meteor über Dokka 2022-08-31 23:24:39 UTC

KML-Datei  |  Interaktive Karte

Die Karte zeigt die Peilungen für den Meteor. Die helleren Linien zeigen die Richtungen von den Beobachtungsorten beim Erscheinen des Meteors, und die dunkleren Linien, wo er zuletzt gesehen wurde. Der blaue Pfeil zeigt die sichtbare Bahn des Meteors.

static map
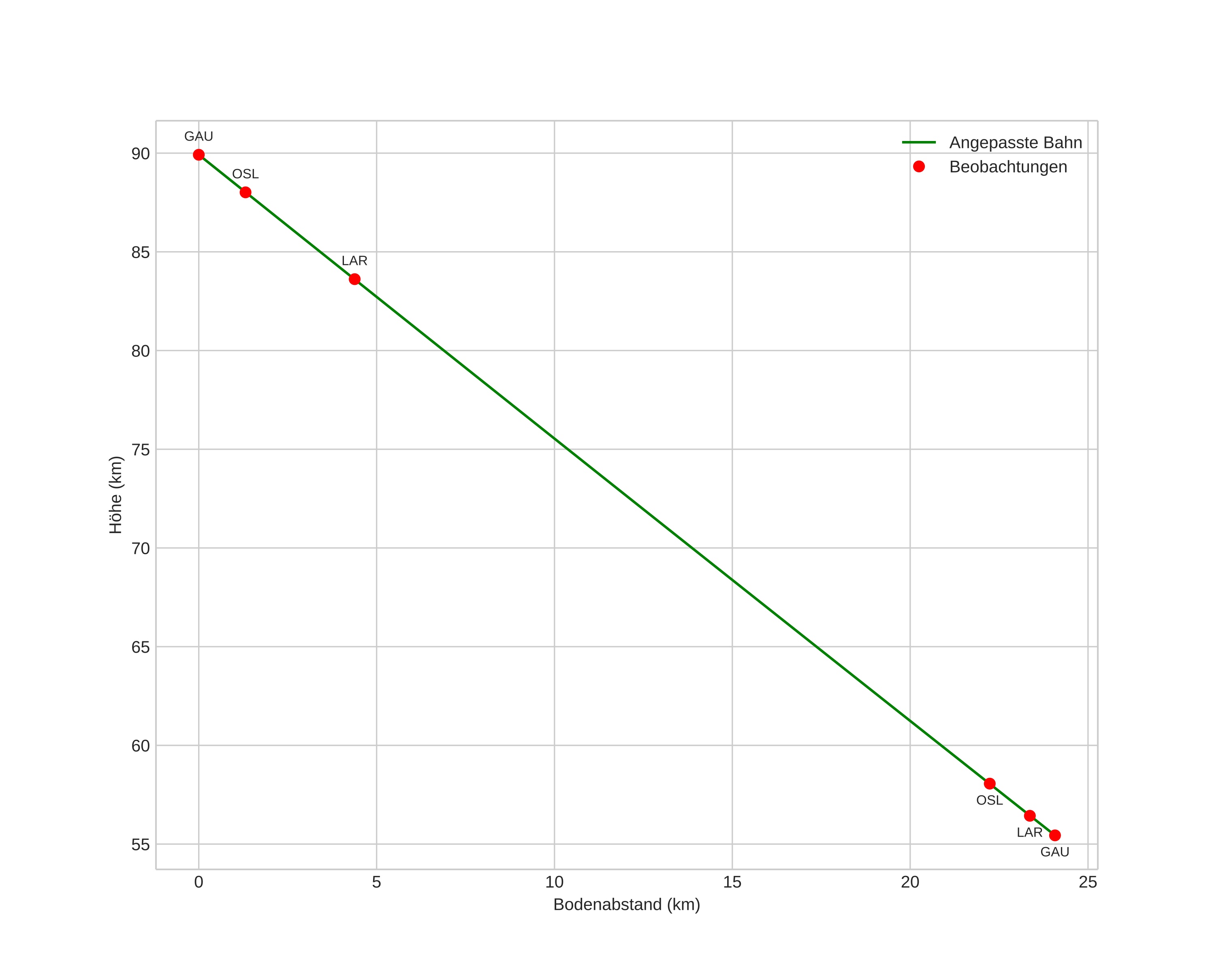
height profile
Atmosphärische Bahn des Meteors:
Anfangshöhe: 89,8 km
Endhöhe: 55,3 km
Startposition: 60,585N 9,580E
Endposition: 60,547N 10,013E
Richtung: 99,9°
Neigungswinkel: 55,1°
Eintrittsgeschwindigkeit: 20,3 km/s
Rektaszension des Radianten: 18:24 (276,2°)
Deklination des Radianten: 47,0°
Meteorstrom: sporadisch
Bahnelemente des Meteoroiden:
Periheldistanz: 0,997 AU
Exzentrizität: 0,655
Inklination: 25,1°
Länge des aufsteigenden Knotens: 158,2°
Argument des Perihels: 194,1°
Mittlere Anomalie: 357,8°
Epoche: 2022 AUG 31 23:24:39
orbit plot

Nicht-interaktives Diagramm | Interaktives Diagramm

position vs time
speed and acceleration

Voksenlia (OSL) cam2


gnomonic
Videos
• Gnomonisch
• Gnomonisch mit Koordinaten
• Original
• Original mit Koordinaten
Bilder
• Gnomonisch
• Gnomonisch mit Koordinaten
• Original
• Original mit Koordinaten
Textdateien
• Erkennung
• Beobachtung
• Fehlermeldungen
• Protokoll
Helligkeit