🇳🇴 🇬🇧 🇩🇪 🇨🇿 🇫🇮

Meteor, poloha: Hinnerup 2022-09-01 20:48:18 UTC

Soubor KML  |  InteraktivnĂ­ mapa

Mapa zobrazuje dráhy meteoru. Světlejší čáry ukazují směry od pozorovacích stanic při objevení se meteoru a tmavší čáry, kde byl naposledy viděn. Modrá šipka značí viditelnou dráhu meteoru.

static map
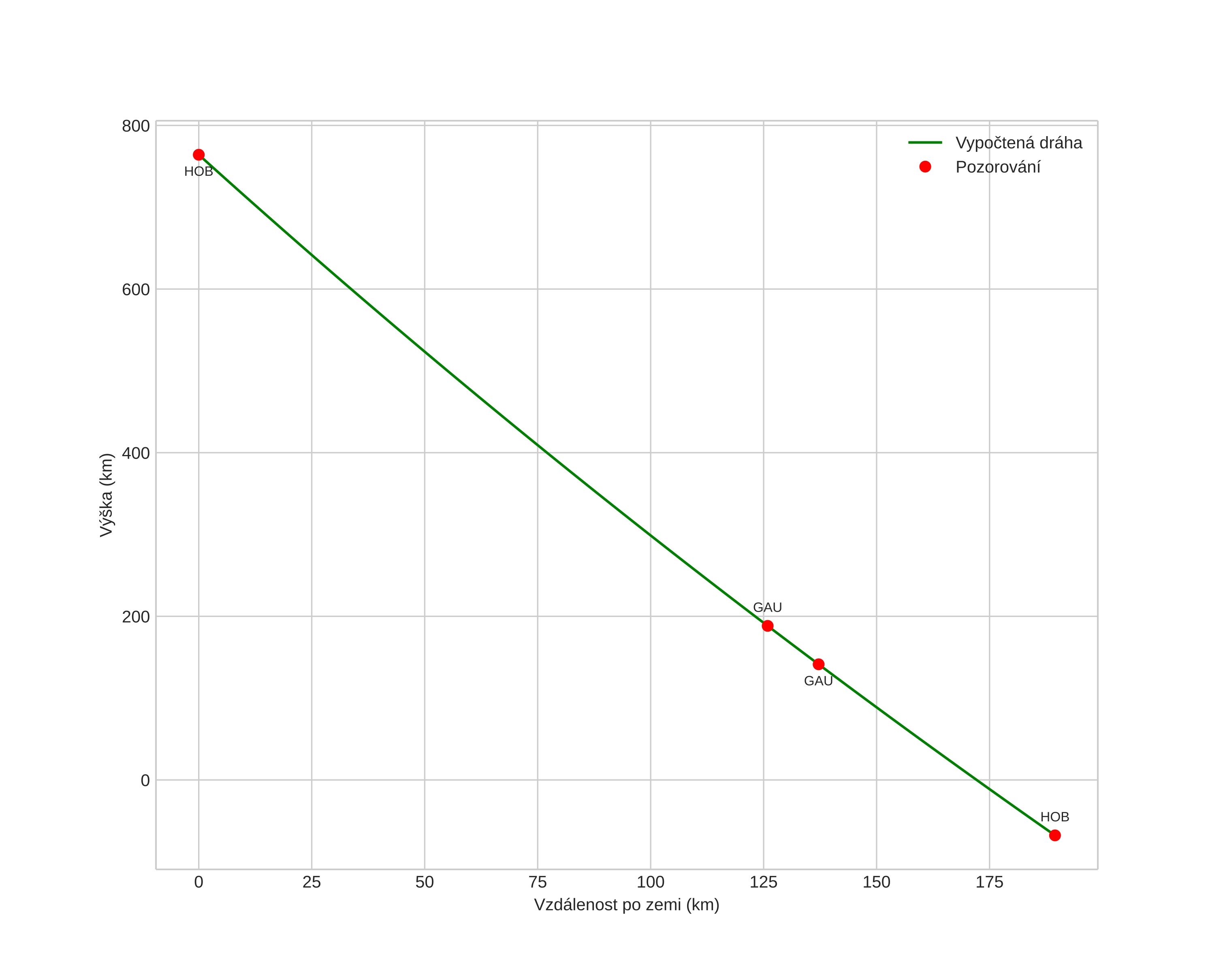
height profile
Atmosférická dráha meteoru:
Počáteční výška: 786,7 km
Konečná výška: -67,0 km
Počáteční poloha: 57,756N 11,880E
Konečná poloha: 56,817N 9,166E
Směr: 238,5°
Sklon: 77,2°
VstupnĂ­ rychlost: 91,1 km/s
Rektascenze radiantu: 21:53 (328,4°)
Deklinace radiantu: 62,3°
MeteorickĂ˝ roj: sporadickĂ˝
Elementy dráhy meteoroidu:
Vzdálenost v periheliu: 0,941 AU
Excentricita: 7,283
Sklon dráhy: 85,9°
Délka vzestupného uzlu: 159,1°
Argument perihelia: 202,5°
Střední anomálie: -129,3°
Epocha: 2022 SEP 01 20:48:18
orbit plot

NeinteraktivnĂ­ graf | InteraktivnĂ­ graf

position vs time
speed and acceleration