🇳🇴 🇬🇧 🇩🇪 🇨🇿 🇫🇮

Meteor Hinnerupin yllä 2022-09-01 20:48:18 UTC

KML-tiedosto  |  Interaktiivinen kartta

Kartta näyttää meteorin suuntahavainnot. Vaaleammat viivat näyttävät suunnat havaintoasemilta meteorin ilmestyessä, ja tummemmat viivat näyttävät, missä se viimeksi nähtiin. Sininen nuoli näyttää meteorin näkyvän lennon.

static map
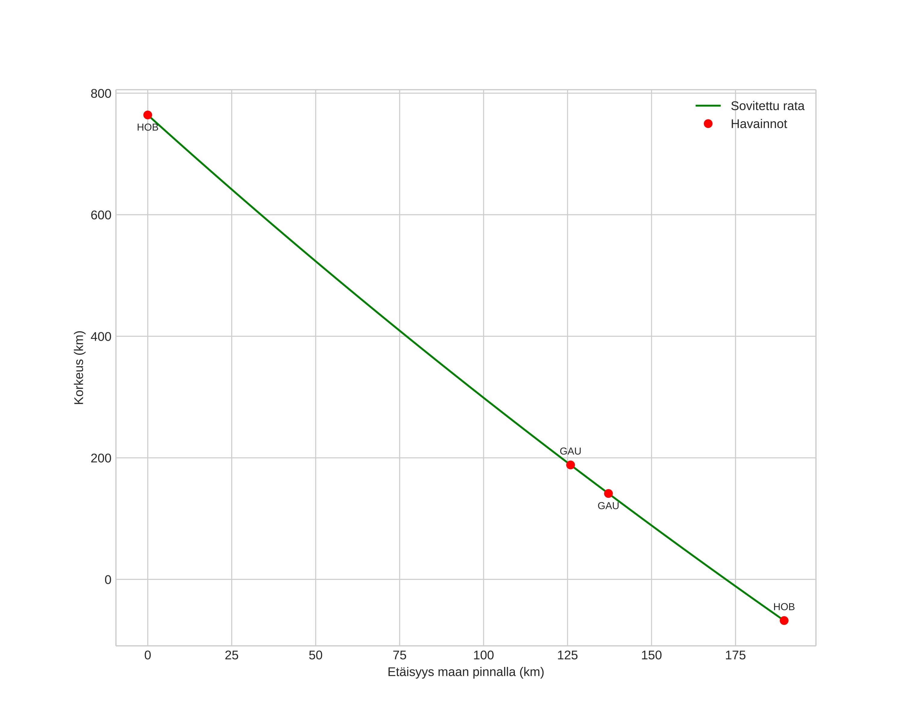
height profile
Meteorin ilmakehärata:
Alkukorkeus: 786,7 km
Loppukorkeus: -67,0 km
Alkupiste: 57,756N 11,880E
Loppupiste: 56,817N 9,166E
Suunta: 238,5°
Kallistuskulma: 77,2°
Tulonopeus: 91,1 km/s
Radiantin R,A,: 21:53 (328,4°)
Radiantin Dekl,: 62,3°
Meteoriparvi: Sporadinen
Meteoroidin rataelementit:
Perihelietäisyys: 0,941 AU
Eksentrisyys: 7,283
Inklinaatio: 85,9°
Nousevan solmun pituus: 159,1°
Perihelin argumentti: 202,5°
Keskianomalia: -129,3°
Epookki: 2022 SEP 01 20:48:18
orbit plot

Ei-interaktiivinen kuvaaja | Interaktiivinen kuvaaja

position vs time
speed and acceleration