🇳🇴 🇬🇧 🇩🇪 🇨🇿 🇫🇮

Meteor, poloha: Strömstad 2022-09-01 22:28:44 UTC

Soubor KML  |  InteraktivnĂ­ mapa

Mapa zobrazuje dráhy meteoru. Světlejší čáry ukazují směry od pozorovacích stanic při objevení se meteoru a tmavší čáry, kde byl naposledy viděn. Modrá šipka značí viditelnou dráhu meteoru.

static map
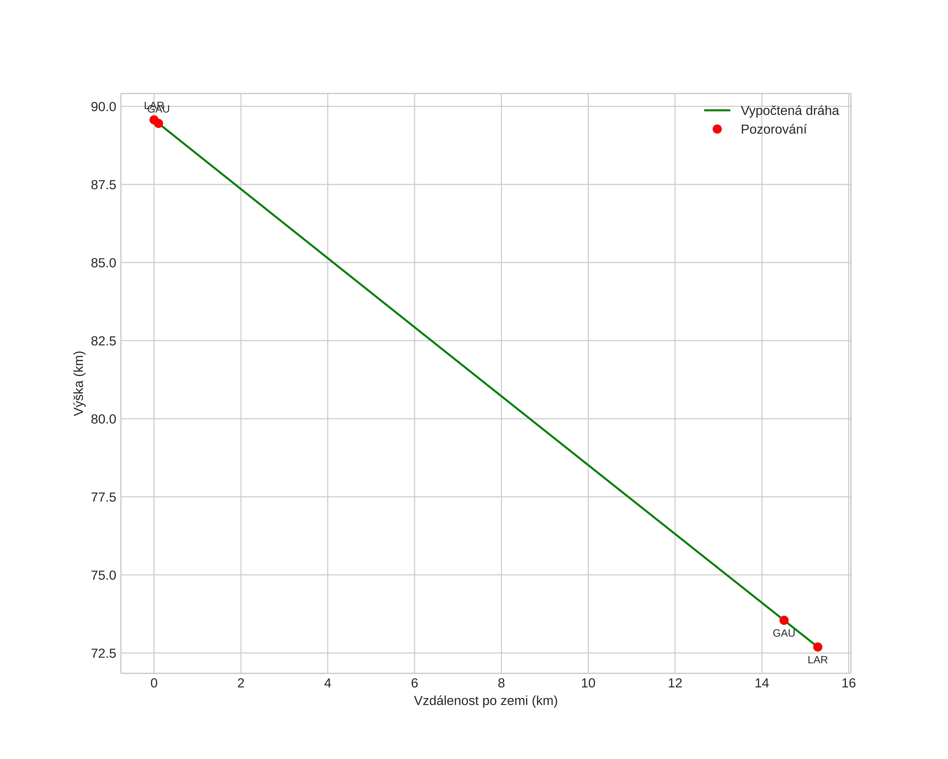
height profile
Atmosférická dráha meteoru:
Počáteční výška: 90,6 km
Konečná výška: 74,4 km
Počáteční poloha: 58,631N 11,060E
Konečná poloha: 58,757N 10,967E
Směr: 339,1°
Sklon: 47,2°
VstupnĂ­ rychlost: 28,9 km/s
Rektascenze radiantu: 22:53 (343,5°)
Deklinace radiantu: 15,3°
MeteorickĂ˝ roj: sporadickĂ˝
Elementy dráhy meteoroidu:
Vzdálenost v periheliu: 0,443 AU
Excentricita: 0,770
Sklon dráhy: 20,9°
Délka vzestupného uzlu: 159,2°
Argument perihelia: 286,8°
Střední anomálie: 342,9°
Epocha: 2022 SEP 01 22:28:44
orbit plot

NeinteraktivnĂ­ graf | InteraktivnĂ­ graf

position vs time
speed and acceleration