🇳🇴 🇬🇧 🇩🇪 🇨🇿 🇫🇮

Meteor Strömstadin yllä 2022-09-01 22:28:44 UTC

KML-tiedosto  |  Interaktiivinen kartta

Kartta näyttää meteorin suuntahavainnot. Vaaleammat viivat näyttävät suunnat havaintoasemilta meteorin ilmestyessä, ja tummemmat viivat näyttävät, missä se viimeksi nähtiin. Sininen nuoli näyttää meteorin näkyvän lennon.

static map
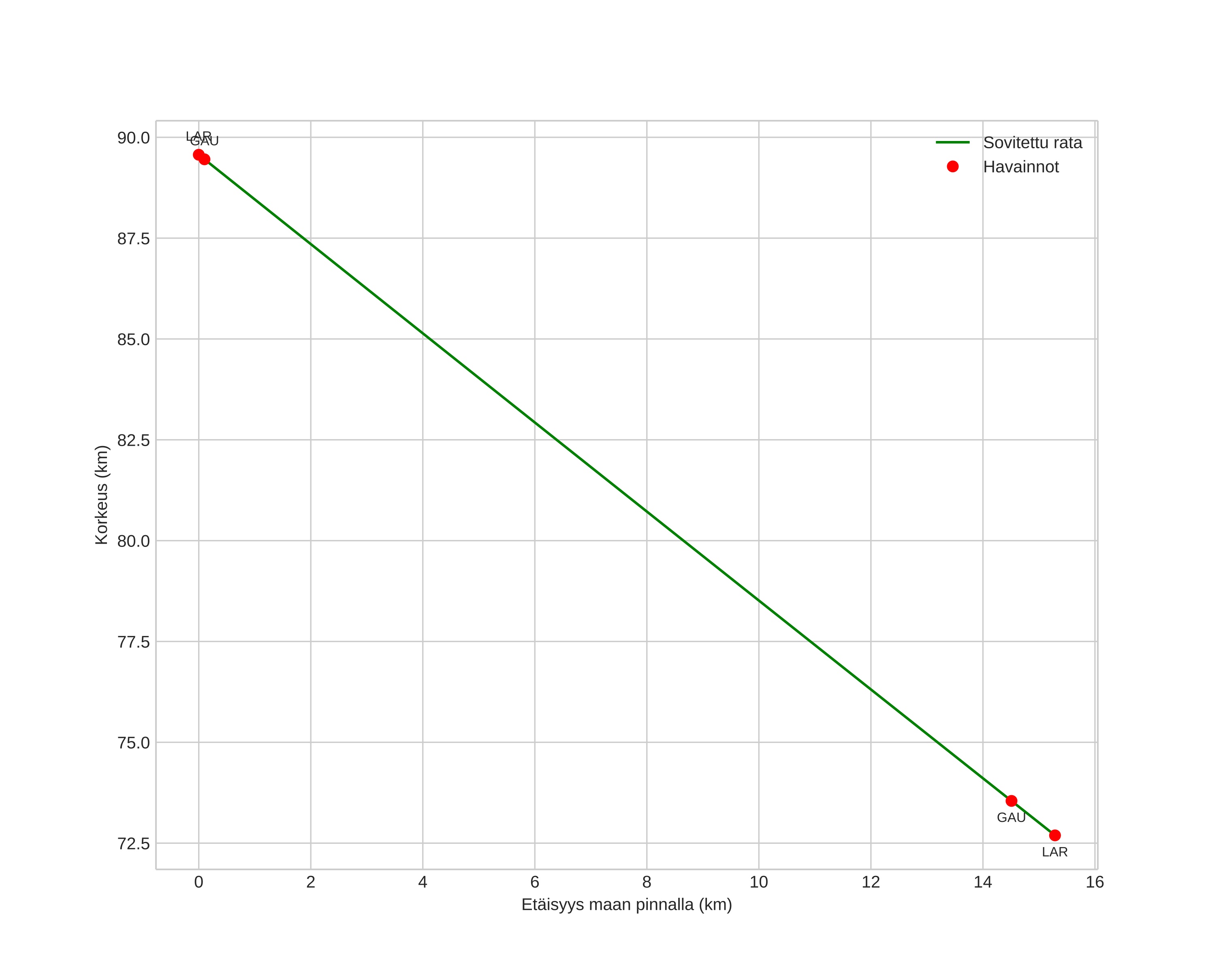
height profile
Meteorin ilmakehärata:
Alkukorkeus: 90,6 km
Loppukorkeus: 74,4 km
Alkupiste: 58,631N 11,060E
Loppupiste: 58,757N 10,967E
Suunta: 339,1°
Kallistuskulma: 47,2°
Tulonopeus: 28,9 km/s
Radiantin R,A,: 22:53 (343,5°)
Radiantin Dekl,: 15,3°
Meteoriparvi: Sporadinen
Meteoroidin rataelementit:
Perihelietäisyys: 0,443 AU
Eksentrisyys: 0,770
Inklinaatio: 20,9°
Nousevan solmun pituus: 159,2°
Perihelin argumentti: 286,8°
Keskianomalia: 342,9°
Epookki: 2022 SEP 01 22:28:44
orbit plot

Ei-interaktiivinen kuvaaja | Interaktiivinen kuvaaja

position vs time
speed and acceleration