🇳🇴 🇬🇧 🇩🇪 🇨🇿 🇫🇮

Meteor, poloha: Sæby 2022-09-04 20:43:22 UTC

Soubor KML  |  InteraktivnĂ­ mapa

Mapa zobrazuje dráhy meteoru. Světlejší čáry ukazují směry od pozorovacích stanic při objevení se meteoru a tmavší čáry, kde byl naposledy viděn. Modrá šipka značí viditelnou dráhu meteoru.

static map
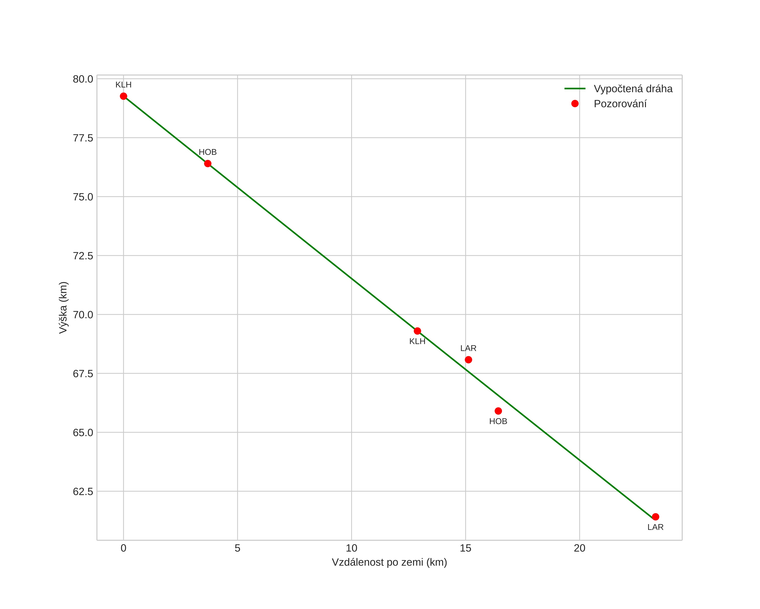
height profile
Atmosférická dráha meteoru:
Počáteční výška: 81,3 km
Konečná výška: 62,4 km
Počáteční poloha: 57,167N 10,637E
Konečná poloha: 57,303N 10,498E
Směr: 331,3°
Sklon: 47,6°
VstupnĂ­ rychlost: 15,8 km/s
Rektascenze radiantu: 21:44 (326,0°)
Deklinace radiantu: 10,1°
MeteorickĂ˝ roj: sporadickĂ˝
Elementy dráhy meteoroidu:
Vzdálenost v periheliu: 0,817 AU
Excentricita: 0,402
Sklon dráhy: 7,7°
Délka vzestupného uzlu: 162,0°
Argument perihelia: 250,3°
Střední anomálie: 328,1°
Epocha: 2022 SEP 04 20:43:22
orbit plot

NeinteraktivnĂ­ graf | InteraktivnĂ­ graf

position vs time
speed and acceleration