🇳🇴 🇬🇧 🇩🇪 🇨🇿 🇫🇮

Meteor, poloha: Søgne 2022-09-05 20:01:19 UTC

Soubor KML  |  InteraktivnĂ­ mapa

Mapa zobrazuje dráhy meteoru. Světlejší čáry ukazují směry od pozorovacích stanic při objevení se meteoru a tmavší čáry, kde byl naposledy viděn. Modrá šipka značí viditelnou dráhu meteoru.

static map
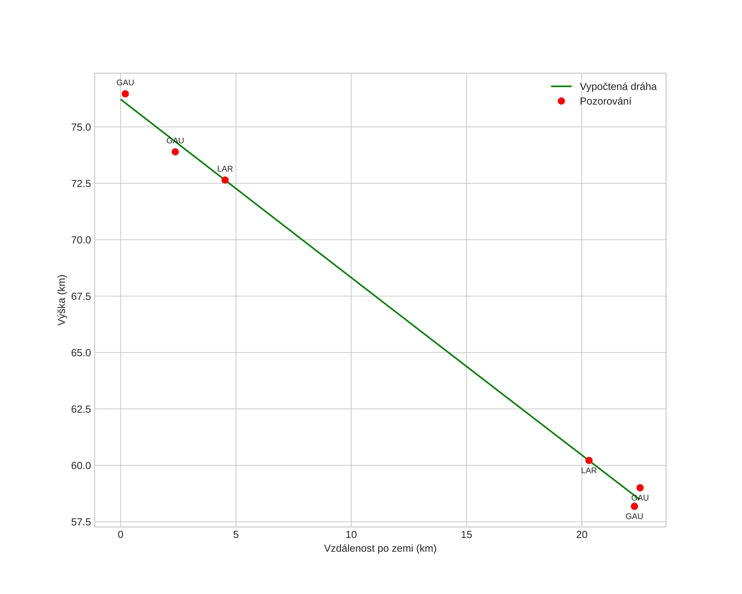
height profile
Atmosférická dráha meteoru:
Počáteční výška: 77,3 km
Konečná výška: 58,8 km
Počáteční poloha: 57,584N 7,476E
Konečná poloha: 57,546N 7,863E
Směr: 100,2°
Sklon: 38,3°
VstupnĂ­ rychlost: 19,4 km/s
Rektascenze radiantu: 14:14 (213,6°)
Deklinace radiantu: 32,1°
MeteorickĂ˝ roj: sporadickĂ˝
Elementy dráhy meteoroidu:
Vzdálenost v periheliu: 0,939 AU
Excentricita: 0,744
Sklon dráhy: 16,7°
Délka vzestupného uzlu: 162,9°
Argument perihelia: 147,1°
Střední anomálie: 3,4°
Epocha: 2022 SEP 05 20:01:19
orbit plot

NeinteraktivnĂ­ graf | InteraktivnĂ­ graf

position vs time
speed and acceleration