🇳🇴 🇬🇧 🇩🇪 🇨🇿 🇫🇮

Meteor, poloha: Grimstad 2022-09-06 00:44:10 UTC

Soubor KML  |  InteraktivnĂ­ mapa

Mapa zobrazuje dráhy meteoru. Světlejší čáry ukazují směry od pozorovacích stanic při objevení se meteoru a tmavší čáry, kde byl naposledy viděn. Modrá šipka značí viditelnou dráhu meteoru.

static map
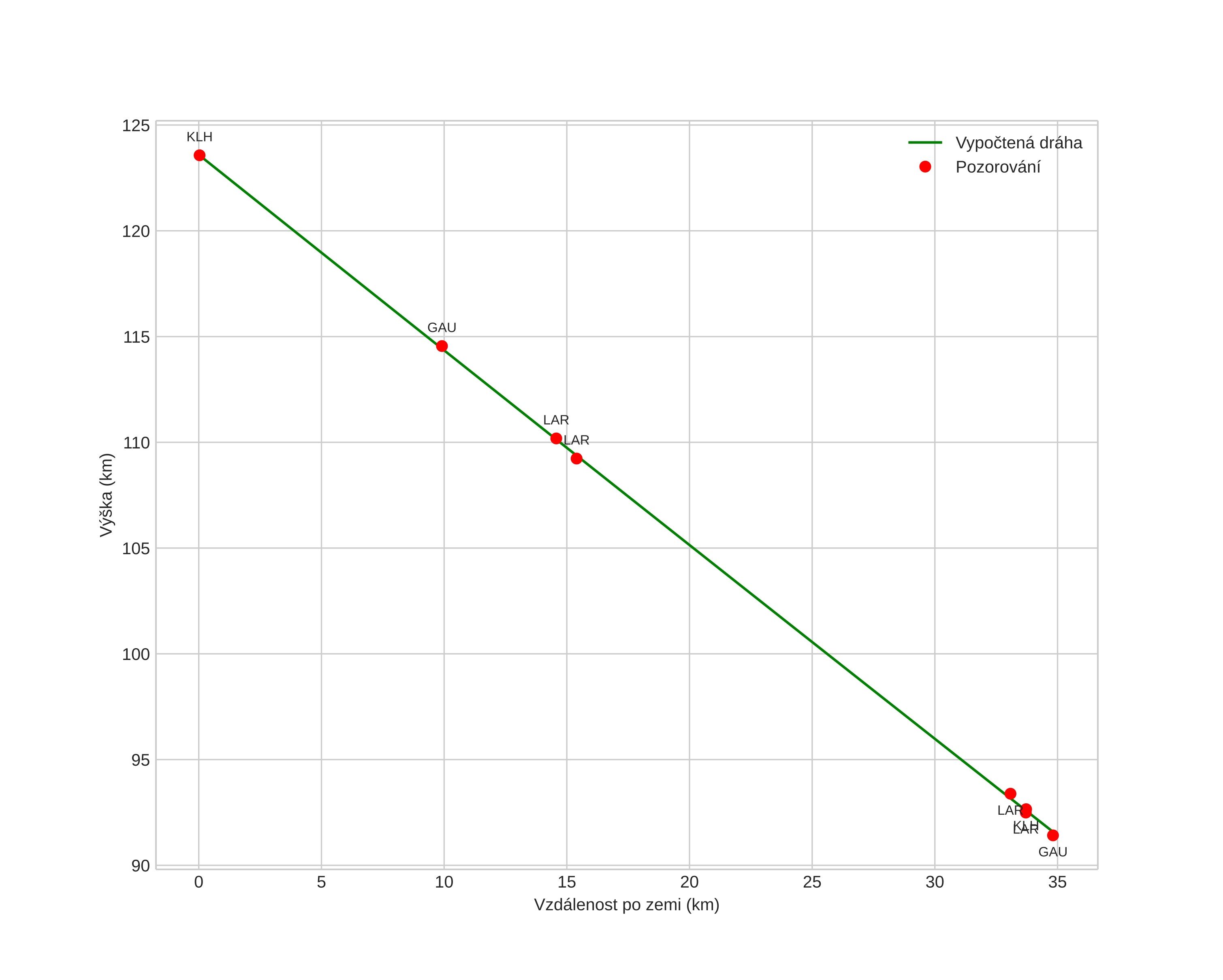
height profile
Atmosférická dráha meteoru:
Počáteční výška: 123,6 km
Konečná výška: 91,4 km
Počáteční poloha: 58,149N 9,314E
Konečná poloha: 57,992N 8,798E
Směr: 240,3°
Sklon: 42,6°
VstupnĂ­ rychlost: 65,9 km/s
Rektascenze radiantu: 06:03 (90,9°)
Deklinace radiantu: 50,0°
MeteorickĂ˝ roj: sporadickĂ˝
Elementy dráhy meteoroidu:
Vzdálenost v periheliu: 0,847 AU
Excentricita: 1,029
Sklon dráhy: 131,7°
Délka vzestupného uzlu: 163,1°
Argument perihelia: 133,3°
Střední anomálie: 0,2°
Epocha: 2022 SEP 06 00:44:10
orbit plot

NeinteraktivnĂ­ graf | InteraktivnĂ­ graf

position vs time
speed and acceleration