🇳🇴 🇬🇧 🇩🇪 🇨🇿 🇫🇮

Meteor Grimstadin yllä 2022-09-06 00:44:10 UTC

KML-tiedosto  |  Interaktiivinen kartta

Kartta näyttää meteorin suuntahavainnot. Vaaleammat viivat näyttävät suunnat havaintoasemilta meteorin ilmestyessä, ja tummemmat viivat näyttävät, missä se viimeksi nähtiin. Sininen nuoli näyttää meteorin näkyvän lennon.

static map
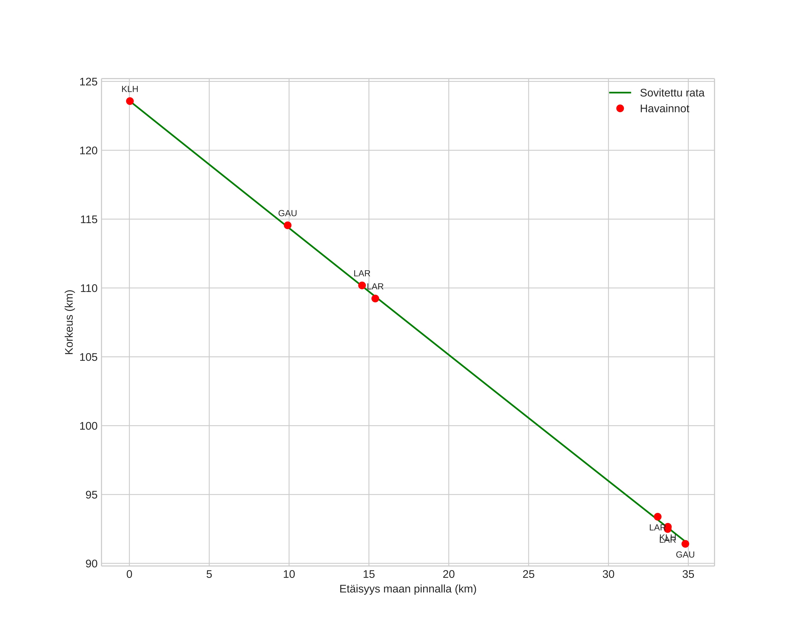
height profile
Meteorin ilmakehärata:
Alkukorkeus: 123,6 km
Loppukorkeus: 91,4 km
Alkupiste: 58,149N 9,314E
Loppupiste: 57,992N 8,798E
Suunta: 240,3°
Kallistuskulma: 42,6°
Tulonopeus: 65,9 km/s
Radiantin R,A,: 06:03 (90,9°)
Radiantin Dekl,: 50,0°
Meteoriparvi: Sporadinen
Meteoroidin rataelementit:
Perihelietäisyys: 0,847 AU
Eksentrisyys: 1,029
Inklinaatio: 131,7°
Nousevan solmun pituus: 163,1°
Perihelin argumentti: 133,3°
Keskianomalia: 0,2°
Epookki: 2022 SEP 06 00:44:10
orbit plot

Ei-interaktiivinen kuvaaja | Interaktiivinen kuvaaja

position vs time
speed and acceleration