🇳🇴 🇬🇧 🇩🇪 🇨🇿 🇫🇮

Meteor, poloha: Fjerritslev 2022-09-06 02:03:27 UTC

Soubor KML  |  InteraktivnĂ­ mapa

Mapa zobrazuje dráhy meteoru. Světlejší čáry ukazují směry od pozorovacích stanic při objevení se meteoru a tmavší čáry, kde byl naposledy viděn. Modrá šipka značí viditelnou dráhu meteoru.

static map
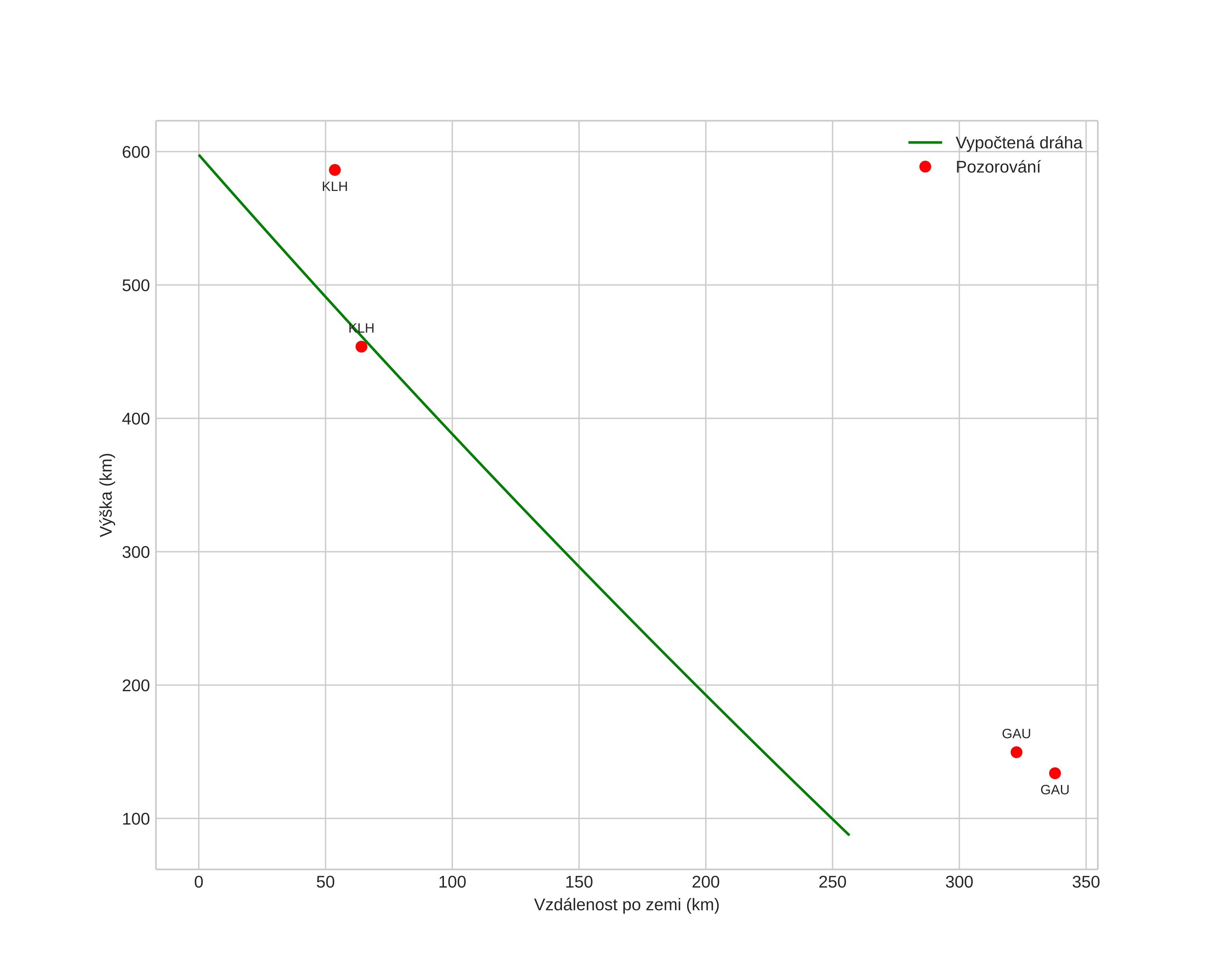
height profile
Atmosférická dráha meteoru:
Počáteční výška: 588,7 km
Konečná výška: 86,4 km
Počáteční poloha: 55,965N 12,207E
Konečná poloha: 57,494N 9,102E
Směr: 313,2°
Sklon: 63,1°
VstupnĂ­ rychlost: 68,7 km/s
Rektascenze radiantu: 03:24 (51,1°)
Deklinace radiantu: 34,2°
MeteorickĂ˝ roj: september-epsilon-perseidene
Elementy dráhy meteoroidu:
Vzdálenost v periheliu: 0,819 AU
Excentricita: 0,998
Sklon dráhy: 152,3°
Délka vzestupného uzlu: 163,2°
Argument perihelia: 231,4°
Střední anomálie: 360,0°
Epocha: 2022 SEP 06 02:03:27
orbit plot

NeinteraktivnĂ­ graf | InteraktivnĂ­ graf

position vs time
speed and acceleration