🇳🇴 🇬🇧 🇩🇪 🇨🇿 🇫🇮

Meteor Fjerritslevin yllä 2022-09-06 02:03:27 UTC

KML-tiedosto  |  Interaktiivinen kartta

Kartta näyttää meteorin suuntahavainnot. Vaaleammat viivat näyttävät suunnat havaintoasemilta meteorin ilmestyessä, ja tummemmat viivat näyttävät, missä se viimeksi nähtiin. Sininen nuoli näyttää meteorin näkyvän lennon.

static map
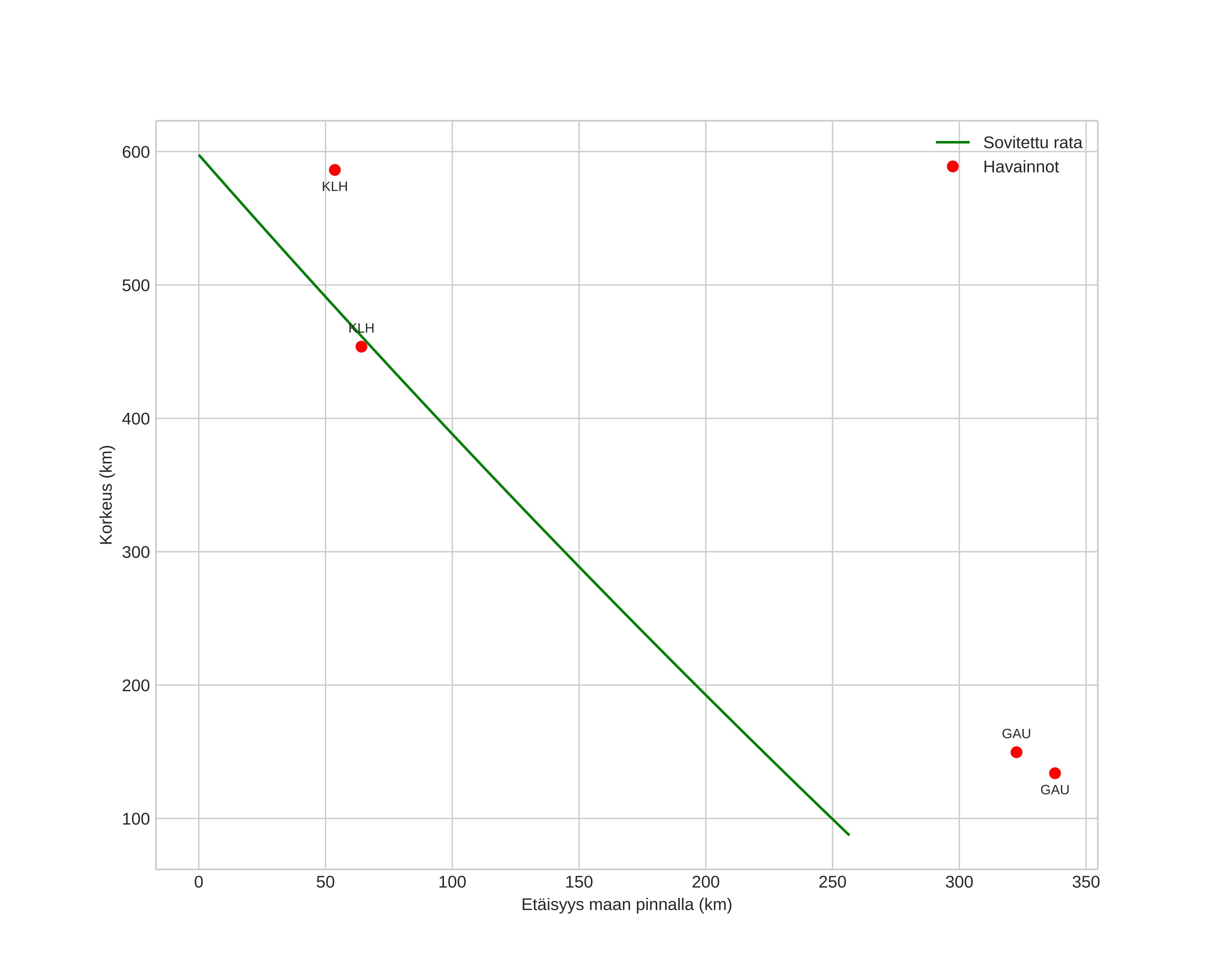
height profile
Meteorin ilmakehärata:
Alkukorkeus: 588,7 km
Loppukorkeus: 86,4 km
Alkupiste: 55,965N 12,207E
Loppupiste: 57,494N 9,102E
Suunta: 313,2°
Kallistuskulma: 63,1°
Tulonopeus: 68,7 km/s
Radiantin R,A,: 03:24 (51,1°)
Radiantin Dekl,: 34,2°
Meteoriparvi: september-epsilon-perseidene
Meteoroidin rataelementit:
Perihelietäisyys: 0,819 AU
Eksentrisyys: 0,998
Inklinaatio: 152,3°
Nousevan solmun pituus: 163,2°
Perihelin argumentti: 231,4°
Keskianomalia: 360,0°
Epookki: 2022 SEP 06 02:03:27
orbit plot

Ei-interaktiivinen kuvaaja | Interaktiivinen kuvaaja

position vs time
speed and acceleration