🇳🇴 🇬🇧 🇩🇪 🇨🇿 🇫🇮

Meteor, poloha: Hemsedal 2022-09-06 19:40:26 UTC

Soubor KML  |  InteraktivnĂ­ mapa

Mapa zobrazuje dráhy meteoru. Světlejší čáry ukazují směry od pozorovacích stanic při objevení se meteoru a tmavší čáry, kde byl naposledy viděn. Modrá šipka značí viditelnou dráhu meteoru.

static map
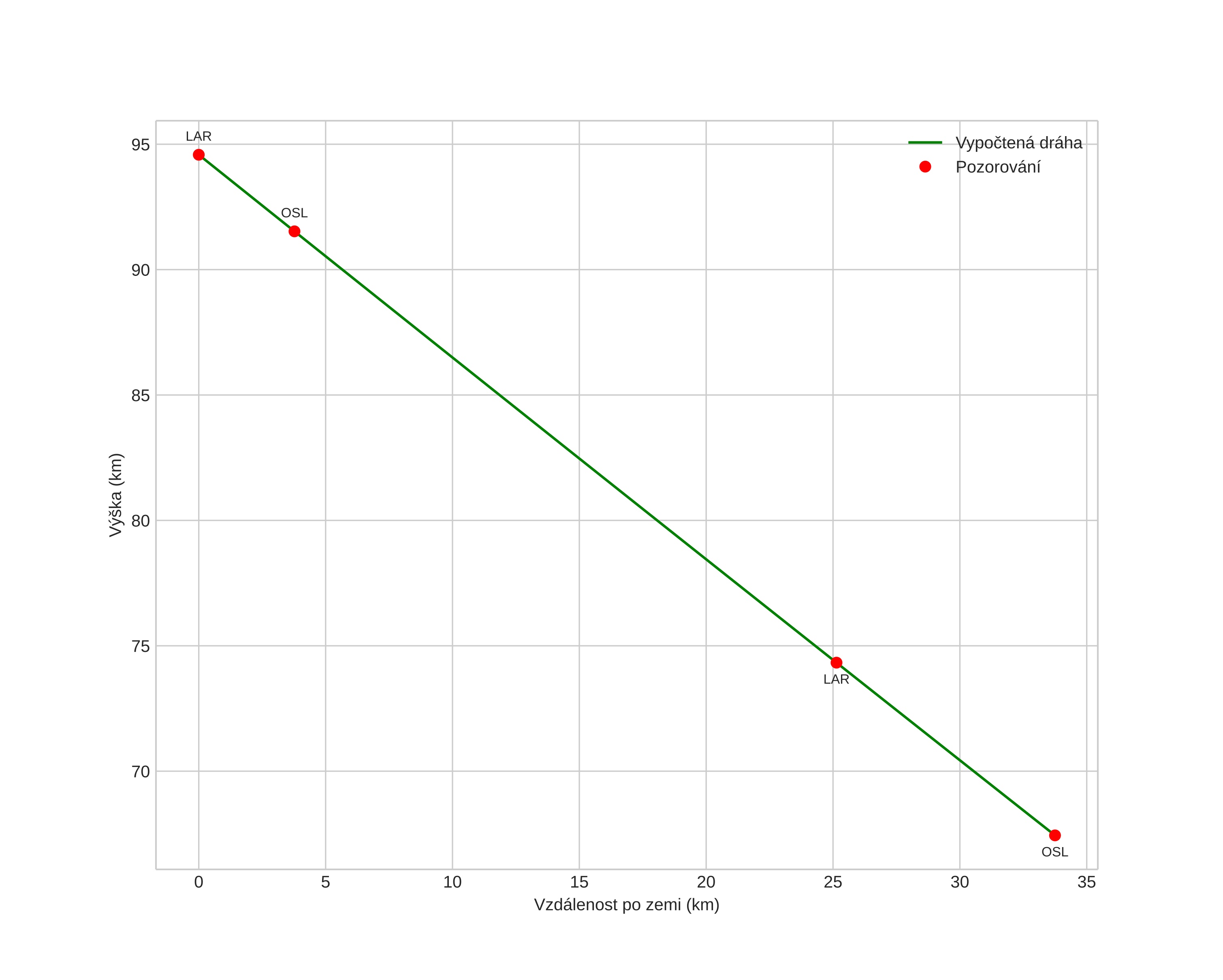
height profile
Atmosférická dráha meteoru:
Počáteční výška: 96,7 km
Konečná výška: 74,1 km
Počáteční poloha: 61,090N 8,193E
Konečná poloha: 60,876N 8,455E
Směr: 149,2°
Sklon: 39,3°
VstupnĂ­ rychlost: 41,2 km/s
Rektascenze radiantu: 10:53 (163,3°)
Deklinace radiantu: 60,2°
MeteorickĂ˝ roj: sporadickĂ˝
Elementy dráhy meteoroidu:
Vzdálenost v periheliu: 0,676 AU
Excentricita: 0,931
Sklon dráhy: 60,5°
Délka vzestupného uzlu: 163,9°
Argument perihelia: 108,4°
Střední anomálie: 1,3°
Epocha: 2022 SEP 06 19:40:26
orbit plot

NeinteraktivnĂ­ graf | InteraktivnĂ­ graf

position vs time
speed and acceleration