🇳🇴 🇬🇧 🇩🇪 🇨🇿 🇫🇮

Meteor, poloha: Hovden 2022-09-07 00:45:11 UTC

Soubor KML  |  InteraktivnĂ­ mapa

Mapa zobrazuje dráhy meteoru. Světlejší čáry ukazují směry od pozorovacích stanic při objevení se meteoru a tmavší čáry, kde byl naposledy viděn. Modrá šipka značí viditelnou dráhu meteoru.

static map
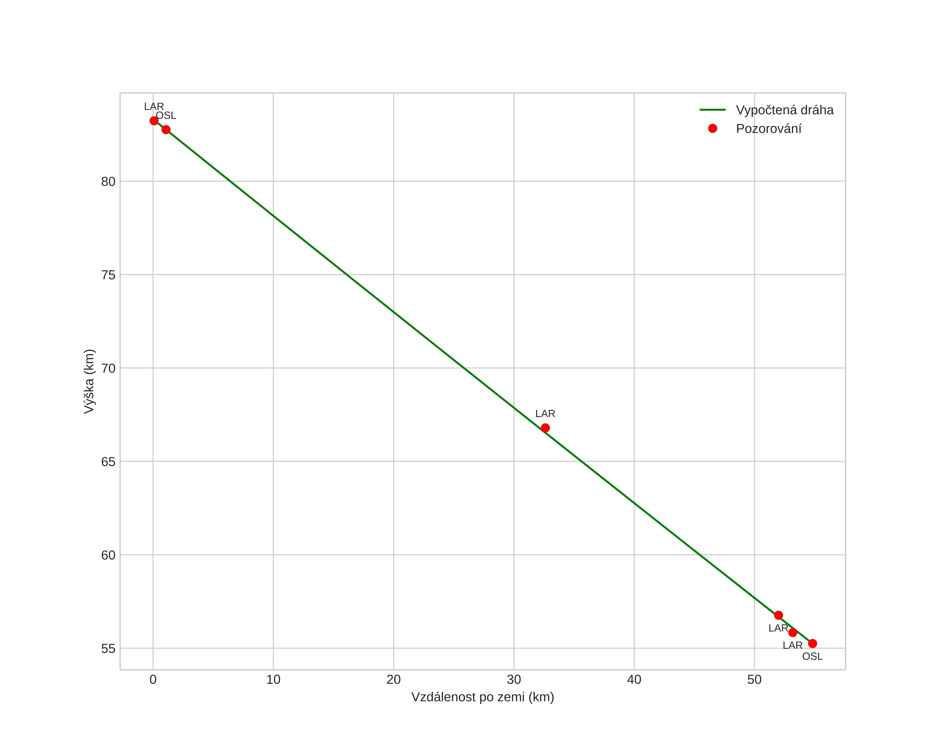
height profile
Atmosférická dráha meteoru:
Počáteční výška: 87,1 km
Konečná výška: 58,4 km
Počáteční poloha: 59,254N 7,795E
Konečná poloha: 59,731N 7,635E
Směr: 350,4°
Sklon: 28,1°
VstupnĂ­ rychlost: 26,5 km/s
Rektascenze radiantu: 00:52 (13,0°)
Deklinace radiantu: -5,8°
MeteorickĂ˝ roj: sporadickĂ˝
Elementy dráhy meteoroidu:
Vzdálenost v periheliu: 0,259 AU
Excentricita: 0,739
Sklon dráhy: 12,7°
Délka vzestupného uzlu: 344,1°
Argument perihelia: 138,5°
Střední anomálie: 310,9°
Epocha: 2022 SEP 07 00:45:11
orbit plot

NeinteraktivnĂ­ graf | InteraktivnĂ­ graf

position vs time
speed and acceleration