🇳🇴 🇬🇧 🇩🇪 🇨🇿 🇫🇮

Meteor Hovdenin yllä 2022-09-07 00:45:11 UTC

KML-tiedosto  |  Interaktiivinen kartta

Kartta näyttää meteorin suuntahavainnot. Vaaleammat viivat näyttävät suunnat havaintoasemilta meteorin ilmestyessä, ja tummemmat viivat näyttävät, missä se viimeksi nähtiin. Sininen nuoli näyttää meteorin näkyvän lennon.

static map
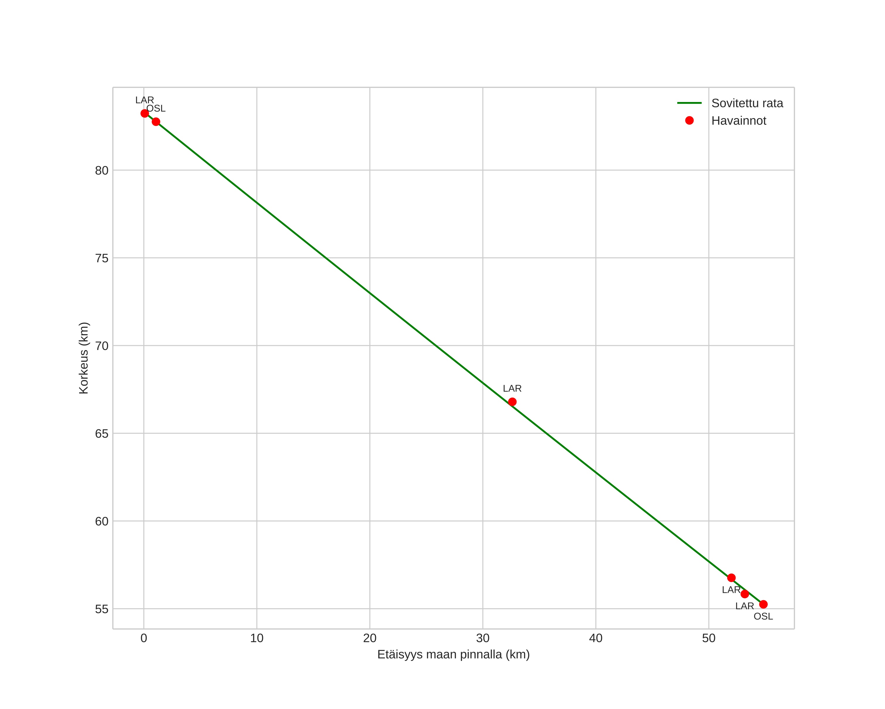
height profile
Meteorin ilmakehärata:
Alkukorkeus: 87,1 km
Loppukorkeus: 58,4 km
Alkupiste: 59,254N 7,795E
Loppupiste: 59,731N 7,635E
Suunta: 350,4°
Kallistuskulma: 28,1°
Tulonopeus: 26,5 km/s
Radiantin R,A,: 00:52 (13,0°)
Radiantin Dekl,: -5,8°
Meteoriparvi: Sporadinen
Meteoroidin rataelementit:
Perihelietäisyys: 0,259 AU
Eksentrisyys: 0,739
Inklinaatio: 12,7°
Nousevan solmun pituus: 344,1°
Perihelin argumentti: 138,5°
Keskianomalia: 310,9°
Epookki: 2022 SEP 07 00:45:11
orbit plot

Ei-interaktiivinen kuvaaja | Interaktiivinen kuvaaja

position vs time
speed and acceleration