🇳🇴 🇬🇧 🇩🇪 🇨🇿 🇫🇮

Meteor, poloha: Hovden 2022-09-07 00:45:12 UTC

Soubor KML  |  InteraktivnĂ­ mapa

Mapa zobrazuje dráhy meteoru. Světlejší čáry ukazují směry od pozorovacích stanic při objevení se meteoru a tmavší čáry, kde byl naposledy viděn. Modrá šipka značí viditelnou dráhu meteoru.

static map
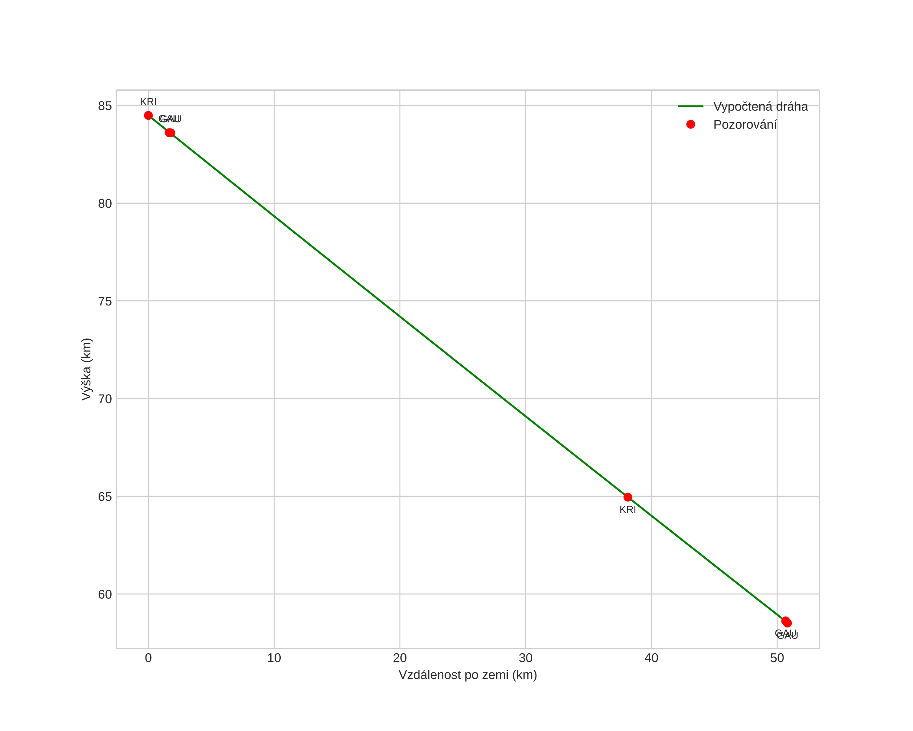
height profile
Atmosférická dráha meteoru:
Počáteční výška: 86,5 km
Konečná výška: 58,0 km
Počáteční poloha: 59,252N 7,801E
Konečná poloha: 59,733N 7,633E
Směr: 350,0°
Sklon: 27,7°
VstupnĂ­ rychlost: 26,1 km/s
Rektascenze radiantu: 00:53 (13,4°)
Deklinace radiantu: -6,3°
MeteorickĂ˝ roj: sporadickĂ˝
Elementy dráhy meteoroidu:
Vzdálenost v periheliu: 0,265 AU
Excentricita: 0,729
Sklon dráhy: 13,1°
Délka vzestupného uzlu: 344,1°
Argument perihelia: 138,4°
Střední anomálie: 309,3°
Epocha: 2022 SEP 07 00:45:12
orbit plot

NeinteraktivnĂ­ graf | InteraktivnĂ­ graf

position vs time
speed and acceleration