🇳🇴 🇬🇧 🇩🇪 🇨🇿 🇫🇮

Meteor, poloha: Hørning 2022-09-07 01:08:04 UTC

Soubor KML  |  InteraktivnĂ­ mapa

Mapa zobrazuje dráhy meteoru. Světlejší čáry ukazují směry od pozorovacích stanic při objevení se meteoru a tmavší čáry, kde byl naposledy viděn. Modrá šipka značí viditelnou dráhu meteoru.

static map
height profile
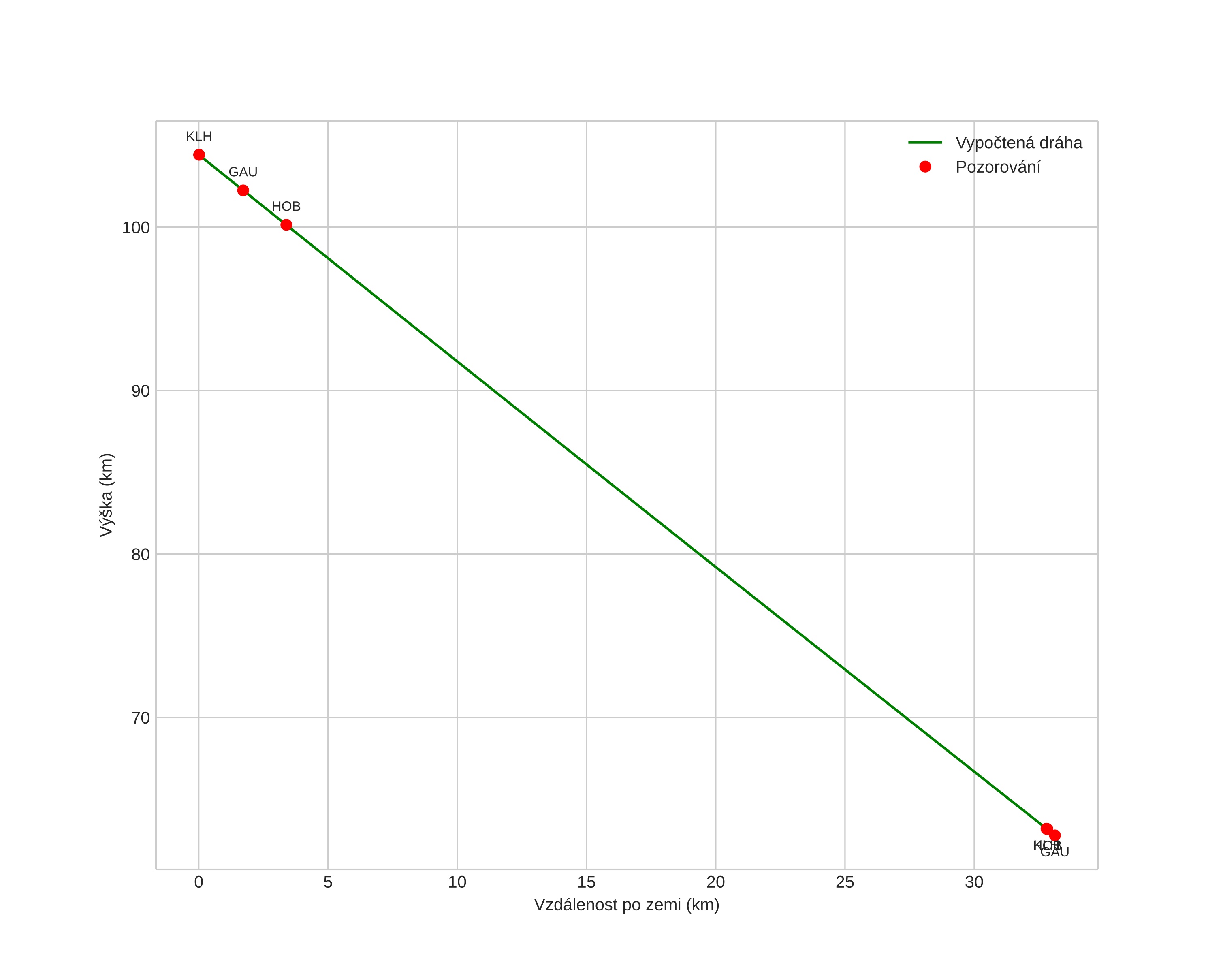
Atmosférická dráha meteoru:
Počáteční výška: 104,3 km
Konečná výška: 62,8 km
Počáteční poloha: 56,760N 10,141E
Konečná poloha: 56,467N 10,215E
Směr: 172,0°
Sklon: 51,6°
VstupnĂ­ rychlost: 39,7 km/s
Rektascenze radiantu: 15:51 (237,8°)
Deklinace radiantu: 82,3°
MeteorickĂ˝ roj: sporadickĂ˝
Elementy dráhy meteoroidu:
Vzdálenost v periheliu: 0,992 AU
Excentricita: 0,973
Sklon dráhy: 61,6°
Délka vzestupného uzlu: 164,1°
Argument perihelia: 165,5°
Střední anomálie: 0,0°
Epocha: 2022 SEP 07 01:08:04
orbit plot

NeinteraktivnĂ­ graf | InteraktivnĂ­ graf

position vs time
speed and acceleration