🇳🇴 🇬🇧 🇩🇪 🇨🇿 🇫🇮

Meteor Hørningin yllä 2022-09-07 01:08:04 UTC

KML-tiedosto  |  Interaktiivinen kartta

Kartta näyttää meteorin suuntahavainnot. Vaaleammat viivat näyttävät suunnat havaintoasemilta meteorin ilmestyessä, ja tummemmat viivat näyttävät, missä se viimeksi nähtiin. Sininen nuoli näyttää meteorin näkyvän lennon.

static map
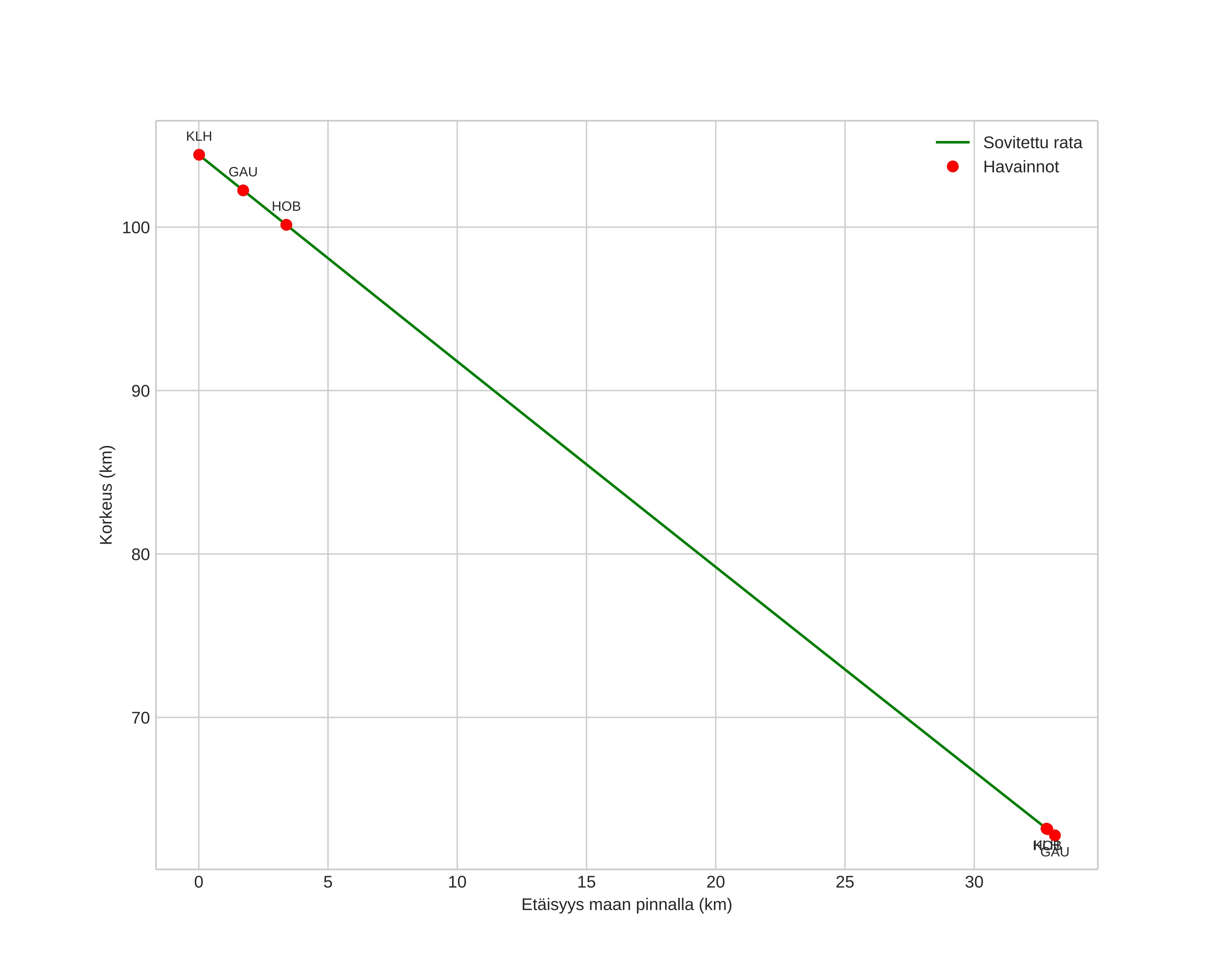
height profile
Meteorin ilmakehärata:
Alkukorkeus: 104,3 km
Loppukorkeus: 62,8 km
Alkupiste: 56,760N 10,141E
Loppupiste: 56,467N 10,215E
Suunta: 172,0°
Kallistuskulma: 51,6°
Tulonopeus: 39,7 km/s
Radiantin R,A,: 15:51 (237,8°)
Radiantin Dekl,: 82,3°
Meteoriparvi: Sporadinen
Meteoroidin rataelementit:
Perihelietäisyys: 0,992 AU
Eksentrisyys: 0,973
Inklinaatio: 61,6°
Nousevan solmun pituus: 164,1°
Perihelin argumentti: 165,5°
Keskianomalia: 0,0°
Epookki: 2022 SEP 07 01:08:04
orbit plot

Ei-interaktiivinen kuvaaja | Interaktiivinen kuvaaja

position vs time
speed and acceleration