🇳🇴 🇬🇧 🇩🇪 🇨🇿 🇫🇮

Meteor, poloha: Hammarstrand 2022-09-07 19:56:10 UTC

Soubor KML  |  InteraktivnĂ­ mapa

Mapa zobrazuje dráhy meteoru. Světlejší čáry ukazují směry od pozorovacích stanic při objevení se meteoru a tmavší čáry, kde byl naposledy viděn. Modrá šipka značí viditelnou dráhu meteoru.

static map
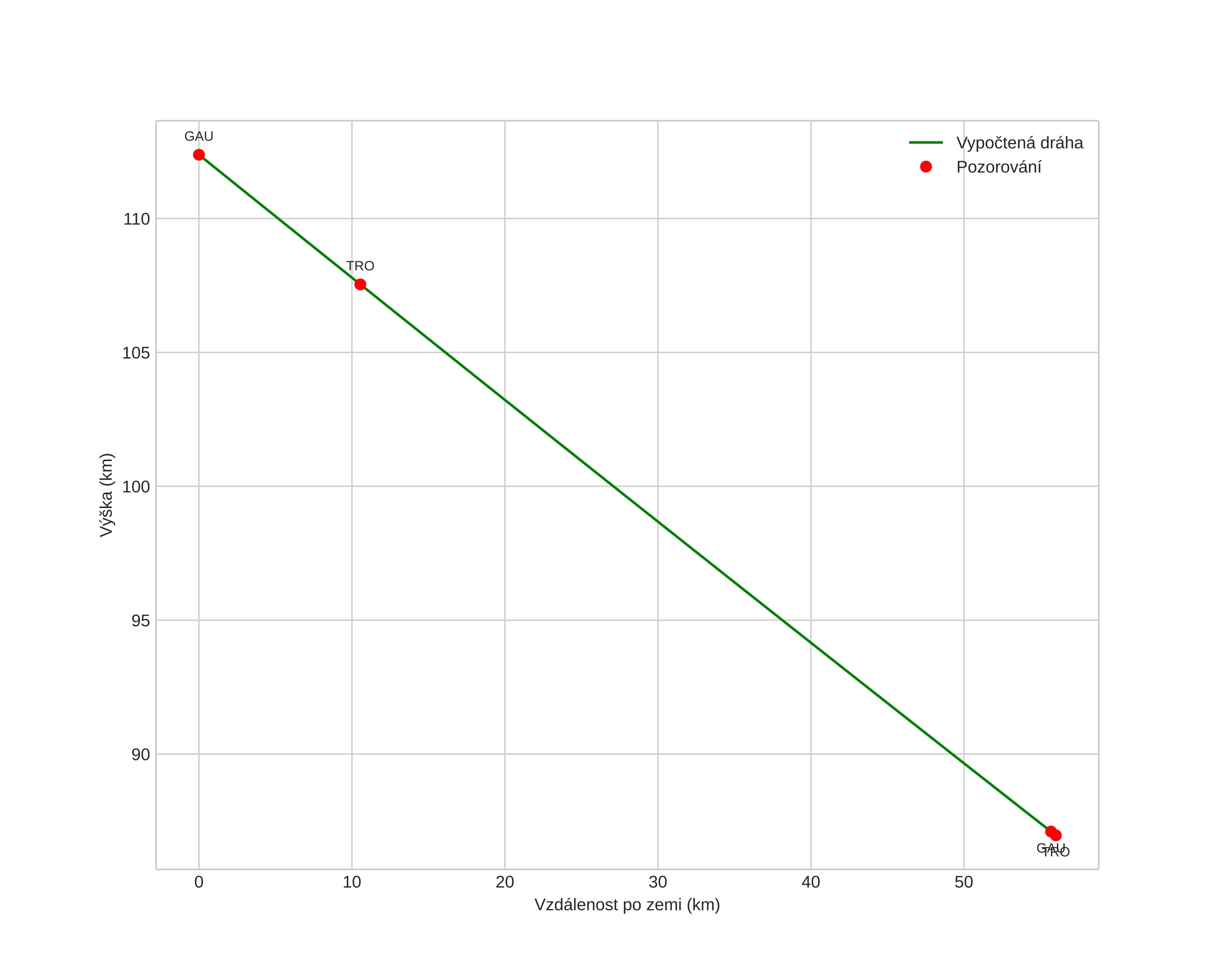
height profile
Atmosférická dráha meteoru:
Počáteční výška: 110,3 km
Konečná výška: 87,6 km
Počáteční poloha: 63,496N 16,815E
Konečná poloha: 63,072N 16,363E
Směr: 205,8°
Sklon: 23,5°
VstupnĂ­ rychlost: 66,2 km/s
Rektascenze radiantu: 05:48 (87,2°)
Deklinace radiantu: 46,0°
MeteorickĂ˝ roj: sporadickĂ˝
Elementy dráhy meteoroidu:
Vzdálenost v periheliu: 0,896 AU
Excentricita: 0,885
Sklon dráhy: 139,3°
Délka vzestupného uzlu: 164,9°
Argument perihelia: 139,8°
Střední anomálie: 1,2°
Epocha: 2022 SEP 07 19:56:10
orbit plot

NeinteraktivnĂ­ graf | InteraktivnĂ­ graf

position vs time
speed and acceleration