🇳🇴 🇬🇧 🇩🇪 🇨🇿 🇫🇮

Meteor Hammarstrandin yllä 2022-09-07 19:56:10 UTC

KML-tiedosto  |  Interaktiivinen kartta

Kartta näyttää meteorin suuntahavainnot. Vaaleammat viivat näyttävät suunnat havaintoasemilta meteorin ilmestyessä, ja tummemmat viivat näyttävät, missä se viimeksi nähtiin. Sininen nuoli näyttää meteorin näkyvän lennon.

static map
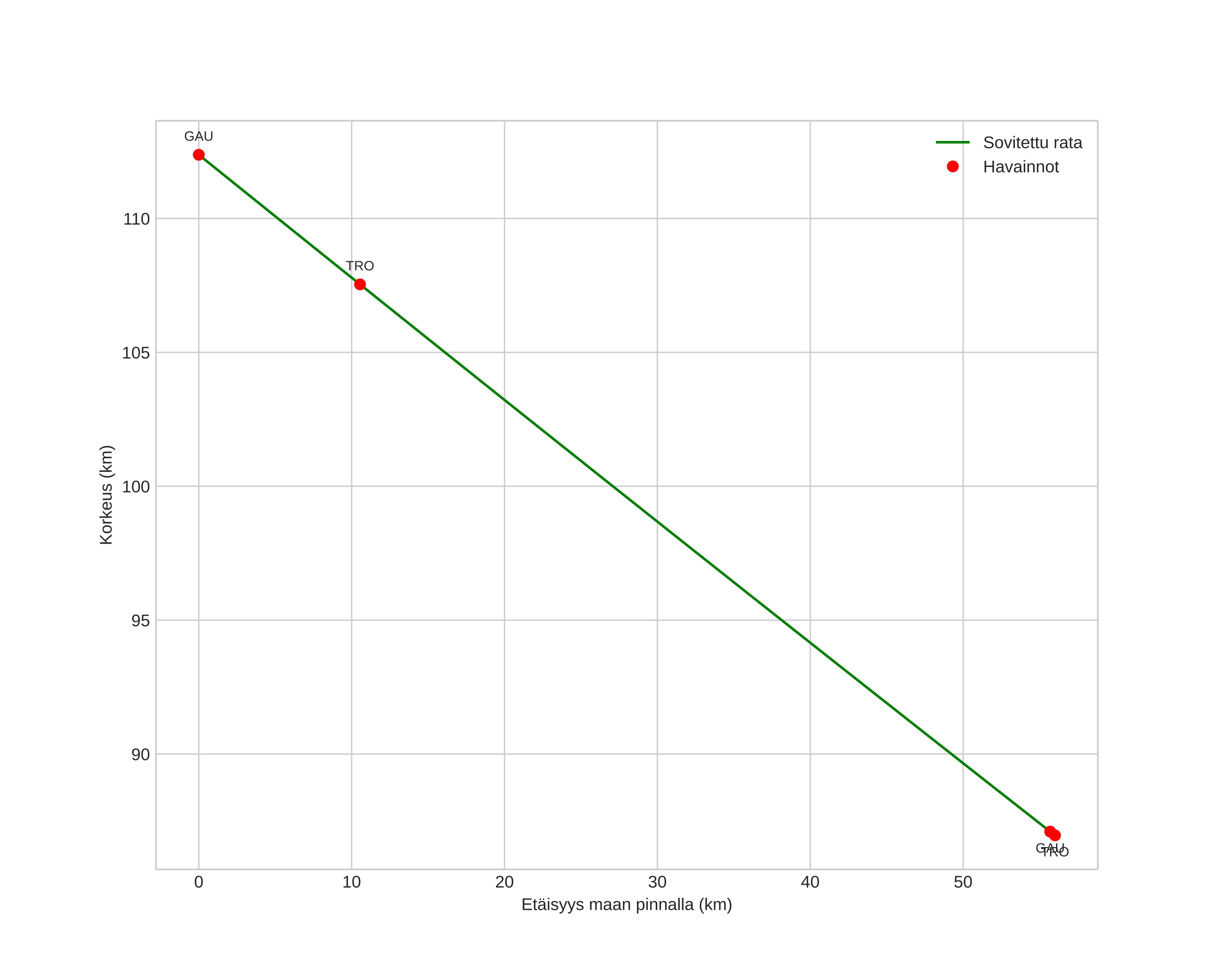
height profile
Meteorin ilmakehärata:
Alkukorkeus: 110,3 km
Loppukorkeus: 87,6 km
Alkupiste: 63,496N 16,815E
Loppupiste: 63,072N 16,363E
Suunta: 205,8°
Kallistuskulma: 23,5°
Tulonopeus: 66,2 km/s
Radiantin R,A,: 05:48 (87,2°)
Radiantin Dekl,: 46,0°
Meteoriparvi: Sporadinen
Meteoroidin rataelementit:
Perihelietäisyys: 0,896 AU
Eksentrisyys: 0,885
Inklinaatio: 139,3°
Nousevan solmun pituus: 164,9°
Perihelin argumentti: 139,8°
Keskianomalia: 1,2°
Epookki: 2022 SEP 07 19:56:10
orbit plot

Ei-interaktiivinen kuvaaja | Interaktiivinen kuvaaja

position vs time
speed and acceleration