🇳🇴 🇬🇧 🇩🇪 🇨🇿 🇫🇮

Meteor, poloha: Hirtshals 2022-09-11 01:40:37 UTC

Soubor KML  |  InteraktivnĂ­ mapa

Mapa zobrazuje dráhy meteoru. Světlejší čáry ukazují směry od pozorovacích stanic při objevení se meteoru a tmavší čáry, kde byl naposledy viděn. Modrá šipka značí viditelnou dráhu meteoru.

static map
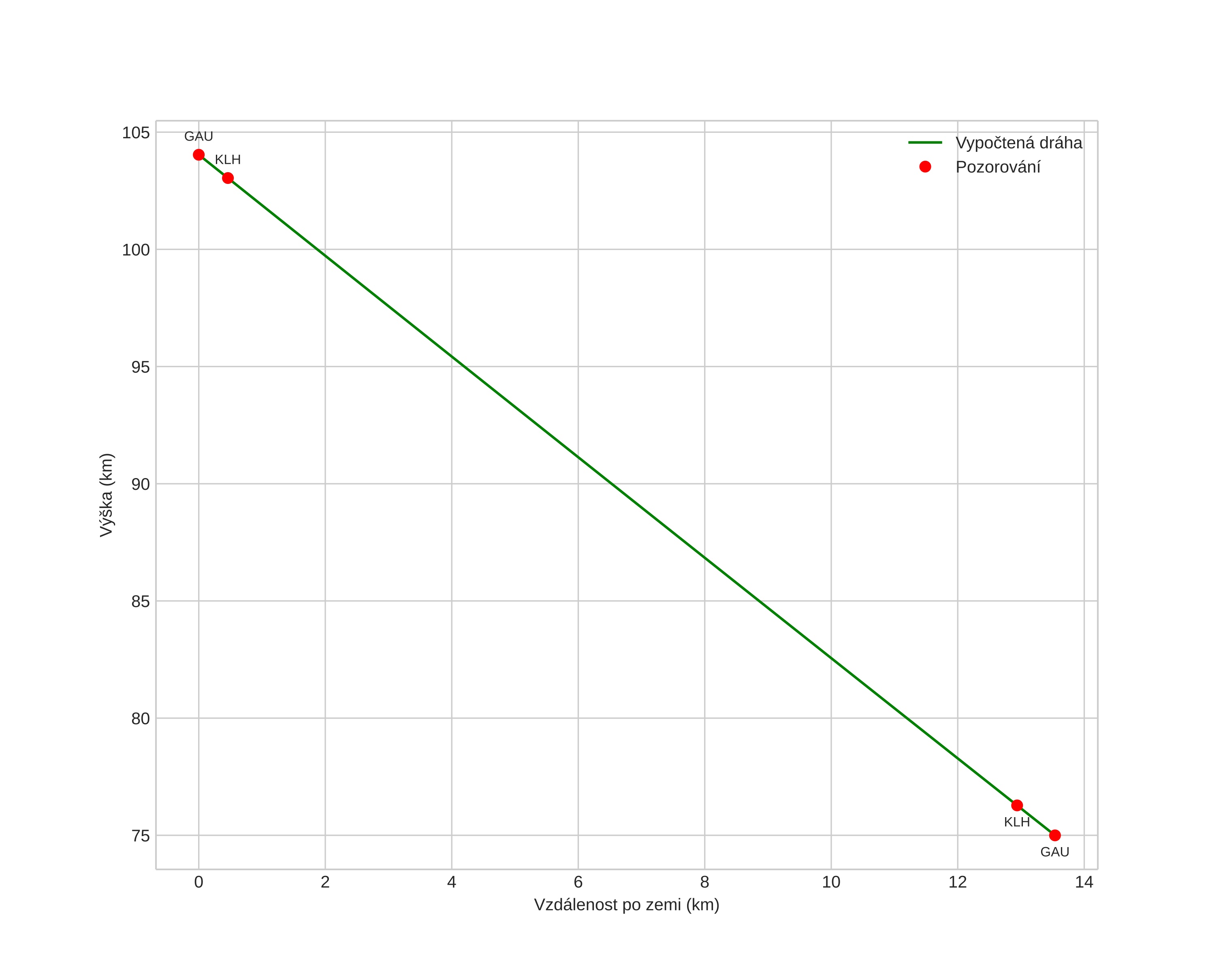
height profile
Atmosférická dráha meteoru:
Počáteční výška: 104,1 km
Konečná výška: 75,3 km
Počáteční poloha: 57,947N 9,991E
Konečná poloha: 57,931N 9,764E
Směr: 262,4°
Sklon: 64,9°
VstupnĂ­ rychlost: 69,4 km/s
Rektascenze radiantu: 04:34 (68,6°)
Deklinace radiantu: 52,7°
MeteorickĂ˝ roj: sporadickĂ˝
Elementy dráhy meteoroidu:
Vzdálenost v periheliu: 1,002 AU
Excentricita: 1,352
Sklon dráhy: 130,3°
Délka vzestupného uzlu: 168,0°
Argument perihelia: 187,3°
Střední anomálie: -1,0°
Epocha: 2022 SEP 11 01:40:37
orbit plot

NeinteraktivnĂ­ graf | InteraktivnĂ­ graf

position vs time
speed and acceleration