🇳🇴 🇬🇧 🇩🇪 🇨🇿 🇫🇮

Meteor Hirtshalsin yllä 2022-09-11 01:40:37 UTC

KML-tiedosto  |  Interaktiivinen kartta

Kartta näyttää meteorin suuntahavainnot. Vaaleammat viivat näyttävät suunnat havaintoasemilta meteorin ilmestyessä, ja tummemmat viivat näyttävät, missä se viimeksi nähtiin. Sininen nuoli näyttää meteorin näkyvän lennon.

static map
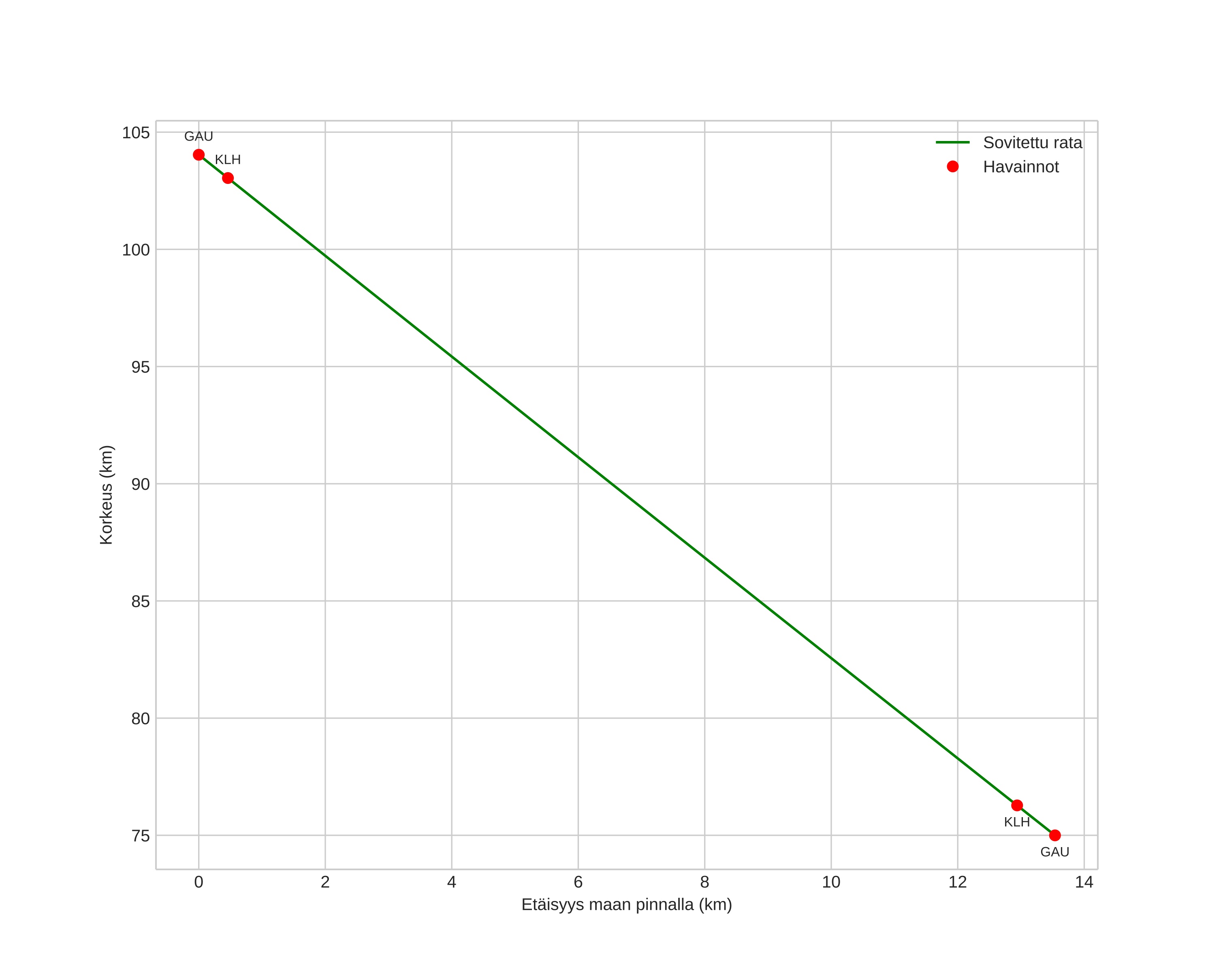
height profile
Meteorin ilmakehärata:
Alkukorkeus: 104,1 km
Loppukorkeus: 75,3 km
Alkupiste: 57,947N 9,991E
Loppupiste: 57,931N 9,764E
Suunta: 262,4°
Kallistuskulma: 64,9°
Tulonopeus: 69,4 km/s
Radiantin R,A,: 04:34 (68,6°)
Radiantin Dekl,: 52,7°
Meteoriparvi: Sporadinen
Meteoroidin rataelementit:
Perihelietäisyys: 1,002 AU
Eksentrisyys: 1,352
Inklinaatio: 130,3°
Nousevan solmun pituus: 168,0°
Perihelin argumentti: 187,3°
Keskianomalia: -1,0°
Epookki: 2022 SEP 11 01:40:37
orbit plot

Ei-interaktiivinen kuvaaja | Interaktiivinen kuvaaja

position vs time
speed and acceleration