🇳🇴 🇬🇧 🇩🇪 🇨🇿 🇫🇮

Meteor, poloha: Varberg 2022-09-14 00:17:52 UTC

Soubor KML  |  InteraktivnĂ­ mapa

Mapa zobrazuje dráhy meteoru. Světlejší čáry ukazují směry od pozorovacích stanic při objevení se meteoru a tmavší čáry, kde byl naposledy viděn. Modrá šipka značí viditelnou dráhu meteoru.

static map
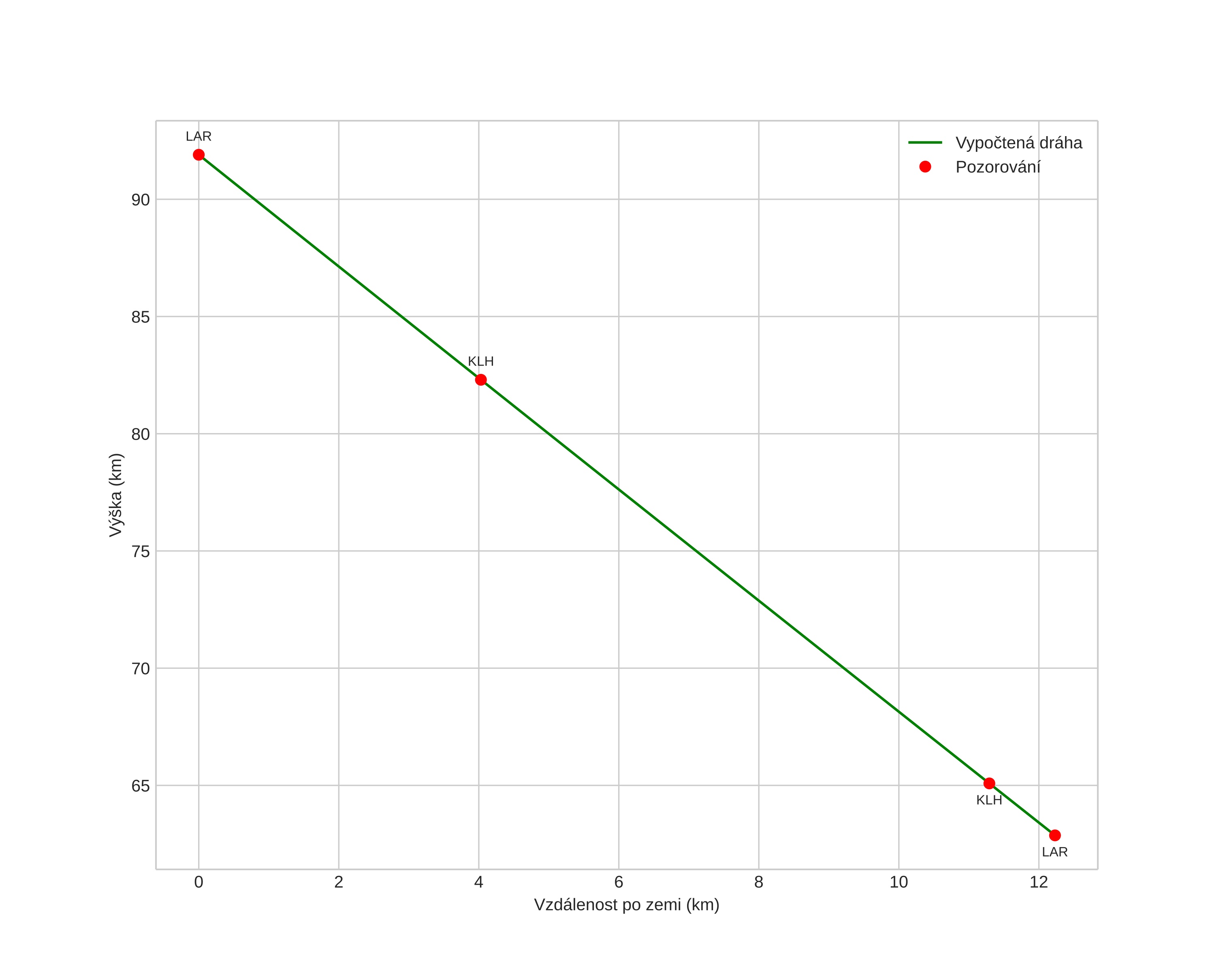
height profile
Atmosférická dráha meteoru:
Počáteční výška: 92,1 km
Konečná výška: 63,7 km
Počáteční poloha: 57,104N 11,971E
Konečná poloha: 57,087N 12,176E
Směr: 98,6°
Sklon: 66,3°
VstupnĂ­ rychlost: 29,2 km/s
Rektascenze radiantu: 21:42 (325,6°)
Deklinace radiantu: 52,3°
MeteorickĂ˝ roj: sporadickĂ˝
Elementy dráhy meteoroidu:
Vzdálenost v periheliu: 0,852 AU
Excentricita: 0,746
Sklon dráhy: 40,4°
Délka vzestupného uzlu: 170,9°
Argument perihelia: 230,1°
Střední anomálie: 354,5°
Epocha: 2022 SEP 14 00:17:52
orbit plot

NeinteraktivnĂ­ graf | InteraktivnĂ­ graf

position vs time
speed and acceleration