🇳🇴 🇬🇧 🇩🇪 🇨🇿 🇫🇮

Meteor Varbergin yllä 2022-09-14 00:17:52 UTC

KML-tiedosto  |  Interaktiivinen kartta

Kartta näyttää meteorin suuntahavainnot. Vaaleammat viivat näyttävät suunnat havaintoasemilta meteorin ilmestyessä, ja tummemmat viivat näyttävät, missä se viimeksi nähtiin. Sininen nuoli näyttää meteorin näkyvän lennon.

static map
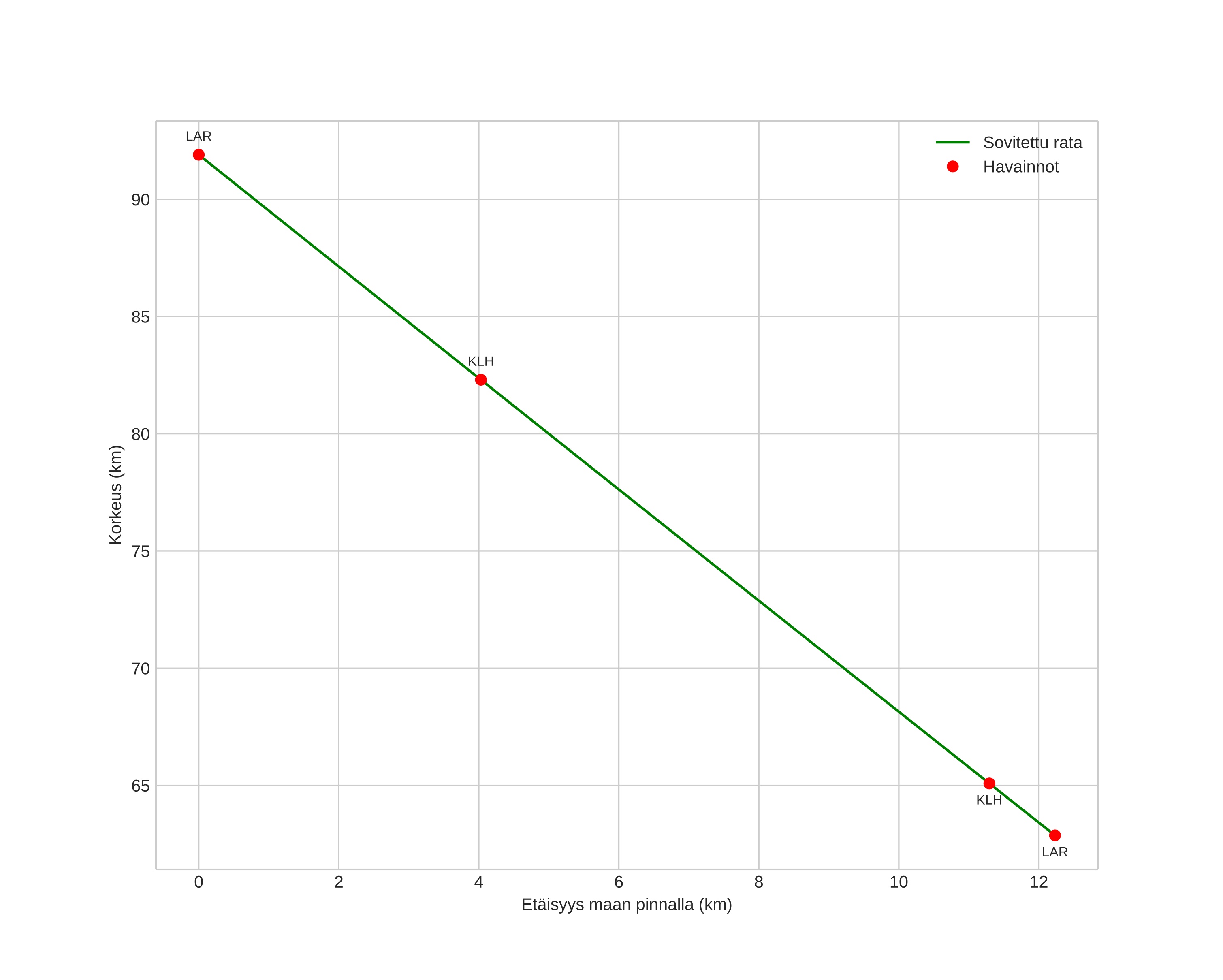
height profile
Meteorin ilmakehärata:
Alkukorkeus: 92,1 km
Loppukorkeus: 63,7 km
Alkupiste: 57,104N 11,971E
Loppupiste: 57,087N 12,176E
Suunta: 98,6°
Kallistuskulma: 66,3°
Tulonopeus: 29,2 km/s
Radiantin R,A,: 21:42 (325,6°)
Radiantin Dekl,: 52,3°
Meteoriparvi: Sporadinen
Meteoroidin rataelementit:
Perihelietäisyys: 0,852 AU
Eksentrisyys: 0,746
Inklinaatio: 40,4°
Nousevan solmun pituus: 170,9°
Perihelin argumentti: 230,1°
Keskianomalia: 354,5°
Epookki: 2022 SEP 14 00:17:52
orbit plot

Ei-interaktiivinen kuvaaja | Interaktiivinen kuvaaja

position vs time
speed and acceleration